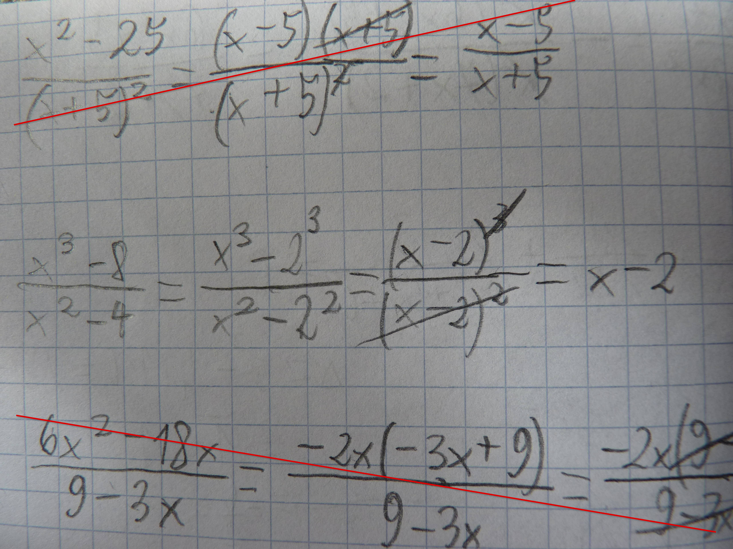
c). [tex]\frac {x^3-8} {x^2-4} [/tex]

Zadanie 3871 (rozwiązane)

Ekspresowy Kurs Maturalny z matematyki

Zdajesz matematykę bo musisz? Przygotuj się do matury nawet w 7 dni! Zapisz się dzisiaj
Zadanie dodane przez wiola2409 , 02.10.2012 09:21
Wiola2409 20111208224647 thumb
c).
\frac {x^3-8} {x^2-4}

Nadesłane rozwiązania ( 1 )

Rozwiązanie 1 dodane przez matgeniusz3 , 02.10.2012 12:43
Matgeniusz3 20120822111618 thumb
rozwiązanie w załączniku. Nie skreślone.
Musisz się zalogować aby dodać komentarz

Znasz inny sposób na rozwiązanie tego zadania?

Dodaj swoje rozwiązanie

Dodaj swoje rozwiązanie:

Zabronione jest kopiowanie wszelkich treści!
Musisz się zalogować aby dodać rozwiazanie do zadania.
Strona korzysta z plików cookie w celu realizacji usług zgodnie z Polityką Prywatności. Możesz określić warunki przechowywania lub dostępu do cookie w twojej przeglądarce lub konfiguracji usługi.