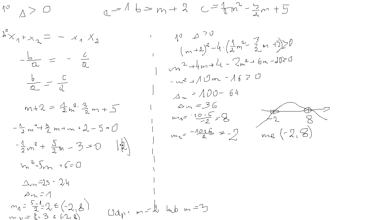
2. Dla jakich wartości parametru m iloczyn i suma dwóch różnych pierwiastków równania $x^{2}+(m+2)x+\frac{1}{2}m^{2}-\frac{3}{2}m+5=0$ są liczbami przeciwnymi ?

Zadanie 4307 (rozwiązane)

Ekspresowy Kurs Maturalny z matematyki

Zdajesz matematykę bo musisz? Przygotuj się do matury nawet w 7 dni! Zapisz się dzisiaj
Zadanie dodane przez karola630 , 11.11.2012 14:42
Default avatar
2. Dla jakich wartości parametru m iloczyn i suma dwóch różnych pierwiastków równania x^{2}+(m+2)x+\frac{1}{2}m^{2}-\frac{3}{2}m+5=0 są liczbami przeciwnymi ?

Nadesłane rozwiązania ( 1 )

Rozwiązanie 1 dodane przez monijatcz , 11.11.2012 15:13
Monijatcz 20121028144130 thumb
załącznik
Musisz się zalogować aby dodać komentarz

Znasz inny sposób na rozwiązanie tego zadania?

Dodaj swoje rozwiązanie

Dodaj swoje rozwiązanie:

Zabronione jest kopiowanie wszelkich treści!
Musisz się zalogować aby dodać rozwiazanie do zadania.
Strona korzysta z plików cookie w celu realizacji usług zgodnie z Polityką Prywatności. Możesz określić warunki przechowywania lub dostępu do cookie w twojej przeglądarce lub konfiguracji usługi.