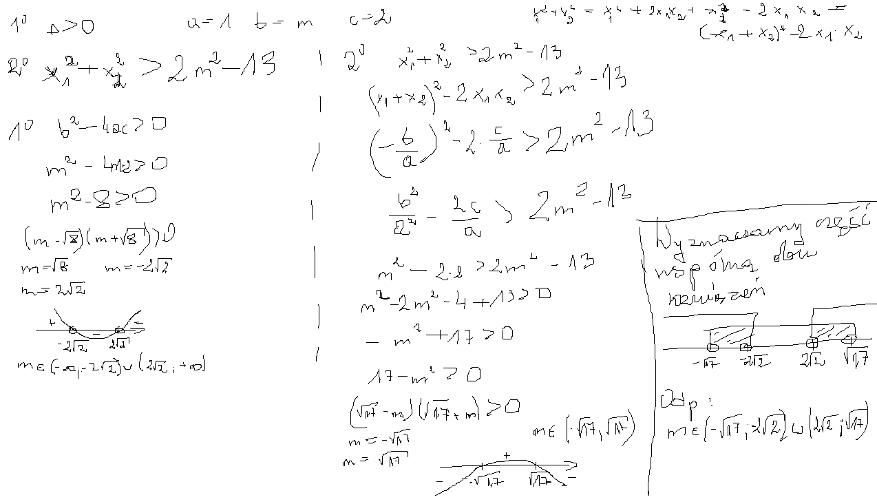
Wyznacz wszystkie wartości parametru m ,dla których równanie$x^{2}+mx+2=0$ma dwa różne pierwiastki, których suma kwardatów jest większa od $2m^{2}-13$

Zadanie 4310 (rozwiązane)

Ekspresowy Kurs Maturalny z matematyki

Zdajesz matematykę bo musisz? Przygotuj się do matury nawet w 7 dni! Zapisz się dzisiaj
Zadanie dodane przez karola630 , 11.11.2012 15:21
Default avatar
Wyznacz wszystkie wartości parametru m ,dla których równaniex^{2}+mx+2=0ma dwa różne pierwiastki, których suma kwardatów jest większa od 2m^{2}-13

Nadesłane rozwiązania ( 1 )

Rozwiązanie 1 dodane przez monijatcz , 11.11.2012 17:41
Monijatcz 20121028144130 thumb
załącznik
Musisz się zalogować aby dodać komentarz

Znasz inny sposób na rozwiązanie tego zadania?

Dodaj swoje rozwiązanie

Dodaj swoje rozwiązanie:

Zabronione jest kopiowanie wszelkich treści!
Musisz się zalogować aby dodać rozwiazanie do zadania.
Strona korzysta z plików cookie w celu realizacji usług zgodnie z Polityką Prywatności. Możesz określić warunki przechowywania lub dostępu do cookie w twojej przeglądarce lub konfiguracji usługi.