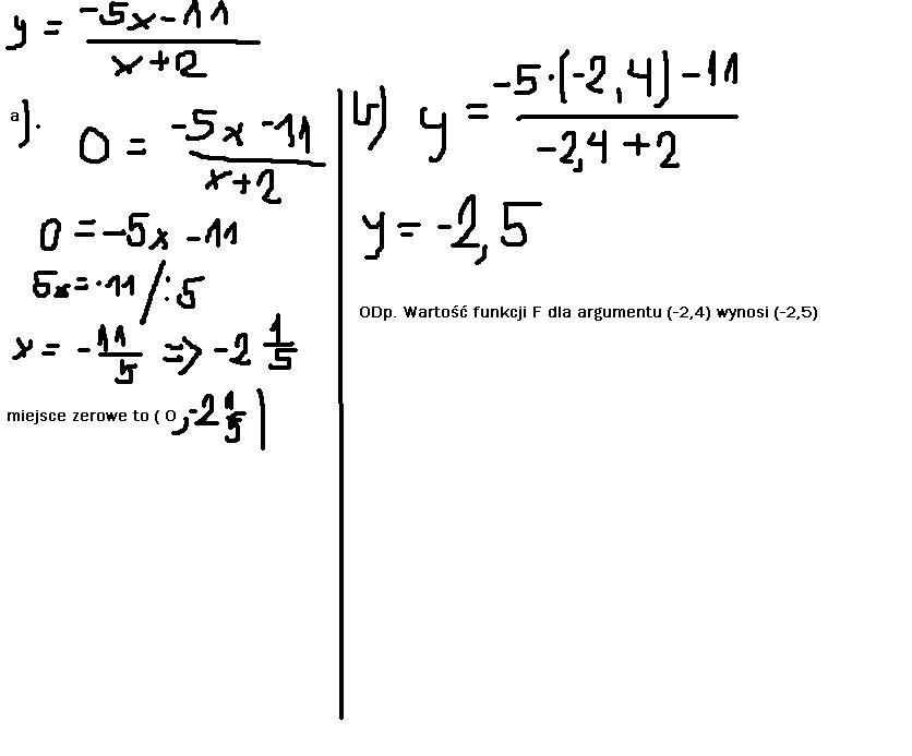
funkcja f określona jest wzorem f(x)= $\frac{-5x-11}{x+2}$ a) oblicz miejsce zerowe funkcji F . b) oblicz wartość funkcji F dla argumentu(-2,4)

Zadanie 3710 (rozwiązane)

Ekspresowy Kurs Maturalny z matematyki

Zdajesz matematykę bo musisz? Przygotuj się do matury nawet w 7 dni! Zapisz się dzisiaj
Zadanie dodane przez xyz19 , 27.08.2012 18:17
Xyz19 20120515143654 thumb
funkcja f określona jest wzorem f(x)= \frac{-5x-11}{x+2}
a) oblicz miejsce zerowe funkcji F
. b) oblicz wartość funkcji F dla argumentu(-2,4)

Nadesłane rozwiązania ( 1 )

Rozwiązanie 1 dodane przez Abaddon24 , 28.08.2012 20:51
Abaddon24 20111123224018 thumb
Rozwiązanie w załączniku
Musisz się zalogować aby dodać komentarz

Znasz inny sposób na rozwiązanie tego zadania?

Dodaj swoje rozwiązanie

Dodaj swoje rozwiązanie:

Zabronione jest kopiowanie wszelkich treści!
Musisz się zalogować aby dodać rozwiazanie do zadania.
Strona korzysta z plików cookie w celu realizacji usług zgodnie z Polityką Prywatności. Możesz określić warunki przechowywania lub dostępu do cookie w twojej przeglądarce lub konfiguracji usługi.