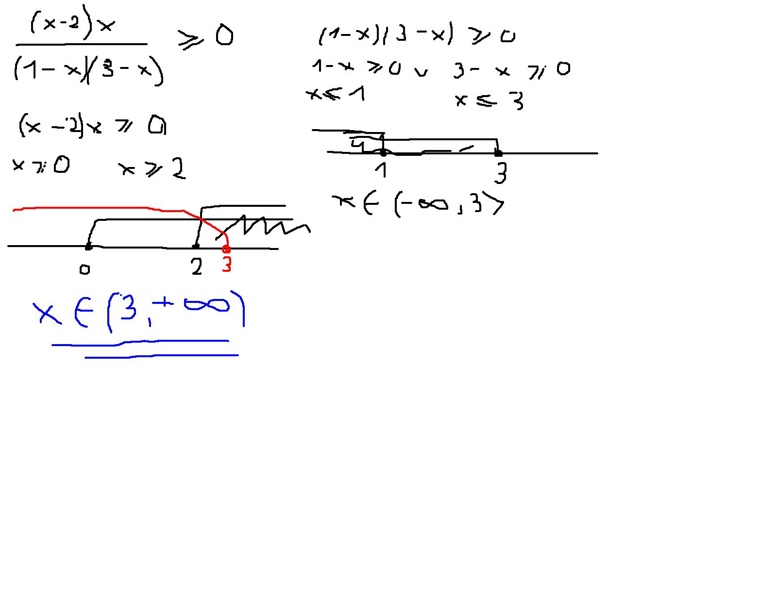
Rozwiąż nierówność $\frac{(x-2)*x}{(1-x)*(3-x)}$ >=0

Zadanie 4027 (rozwiązane)

Ekspresowy Kurs Maturalny z matematyki

Zdajesz matematykę bo musisz? Przygotuj się do matury nawet w 7 dni! Zapisz się dzisiaj
Zadanie dodane przez marek93 , 15.10.2012 17:28
Marek93 20121014122455 thumb
Rozwiąż nierówność \frac{(x-2)*x}{(1-x)*(3-x)} >=0

Nadesłane rozwiązania ( 1 )

Rozwiązanie 1 dodane przez Abaddon24 , 15.10.2012 19:28
Abaddon24 20111123224018 thumb
zadanie w załączniku
Musisz się zalogować aby dodać komentarz

Znasz inny sposób na rozwiązanie tego zadania?

Dodaj swoje rozwiązanie

Dodaj swoje rozwiązanie:

Zabronione jest kopiowanie wszelkich treści!
Musisz się zalogować aby dodać rozwiazanie do zadania.
Strona korzysta z plików cookie w celu realizacji usług zgodnie z Polityką Prywatności. Możesz określić warunki przechowywania lub dostępu do cookie w twojej przeglądarce lub konfiguracji usługi.