Pomóżcie te zadania dwa 4 i 5 !

Zadanie 4453 (rozwiązane)

Ekspresowy Kurs Maturalny z matematyki

Zdajesz matematykę bo musisz? Przygotuj się do matury nawet w 7 dni! Zapisz się dzisiaj
Zadanie dodane przez Bezsenna2 , 16.11.2012 17:07
Bezsenna2 20121115111229 thumb
Pomóżcie te zadania dwa 4 i 5 !

Nadesłane rozwiązania ( 2 )

Rozwiązanie 1 dodane przez monijatcz , 16.11.2012 19:09
Monijatcz 20121028144130 thumb
Z5. załącznik - graf
Szukane pary to: (0,-1),(0,1),(2,-1),(2,1)(4,-1)(4,1)
Liczba możliwych wyborów to 3*2=6 ( najpierw wybieramy ze zbioru A czyli mamy trzy liczby , następnie ze zbioru B czyli dwie liczby do wyboru)

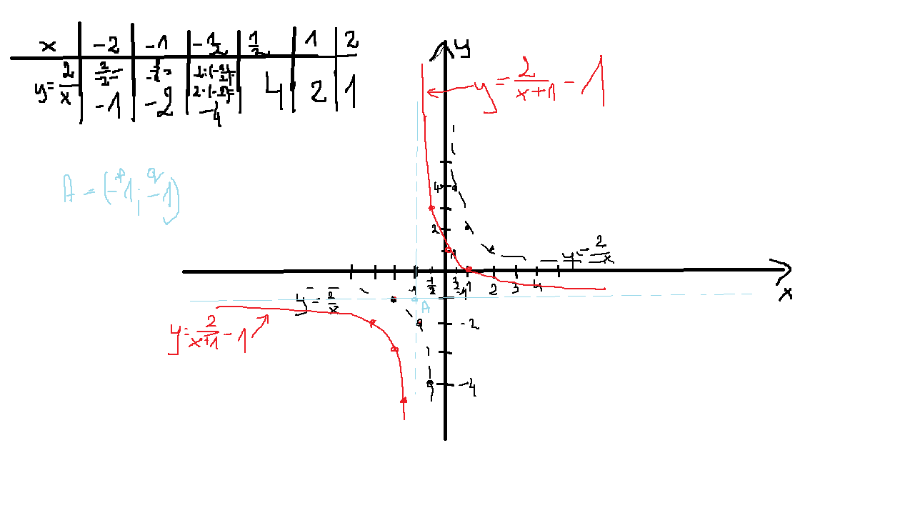
Z4 żeby narysować wykres tej funkcji należy najpierw narysowac
y=\frac{2}{x} a następnie przesunać o wektor [p,q] czyli o wektor [-1,-1] ( o 1j w lewo i 1j w dół)
Dziedziną takiego wyrażenia zawsze jest R\{p} czyli D=R\{-1}
Zbiorem wartosci jest zawsze zbiór R\{q} czyli ZW=R\{-1}
Musisz się zalogować aby dodać komentarz
Rozwiązanie 2 dodane przez monijatcz , 16.11.2012 20:44
Monijatcz 20121028144130 thumb
Wykres do zadania4 jest w załączniku
Tabelka i na czarno wykres jest funkcji: y=\frac{2}{x}

Na czerwono właściwa funkcja ( po przesunięciu tej czarnej o wektor[-1,-1]), zaś na niebiesko są narysowane asymptoty tej czerwonej funkcji.
Asymptoty x=-1 ( czyli x=p) i y=-1 (czyli y=q)
Musisz się zalogować aby dodać komentarz

Znasz inny sposób na rozwiązanie tego zadania?

Dodaj swoje rozwiązanie

Dodaj swoje rozwiązanie:

Zabronione jest kopiowanie wszelkich treści!
Musisz się zalogować aby dodać rozwiazanie do zadania.
Strona korzysta z plików cookie w celu realizacji usług zgodnie z Polityką Prywatności. Możesz określić warunki przechowywania lub dostępu do cookie w twojej przeglądarce lub konfiguracji usługi.