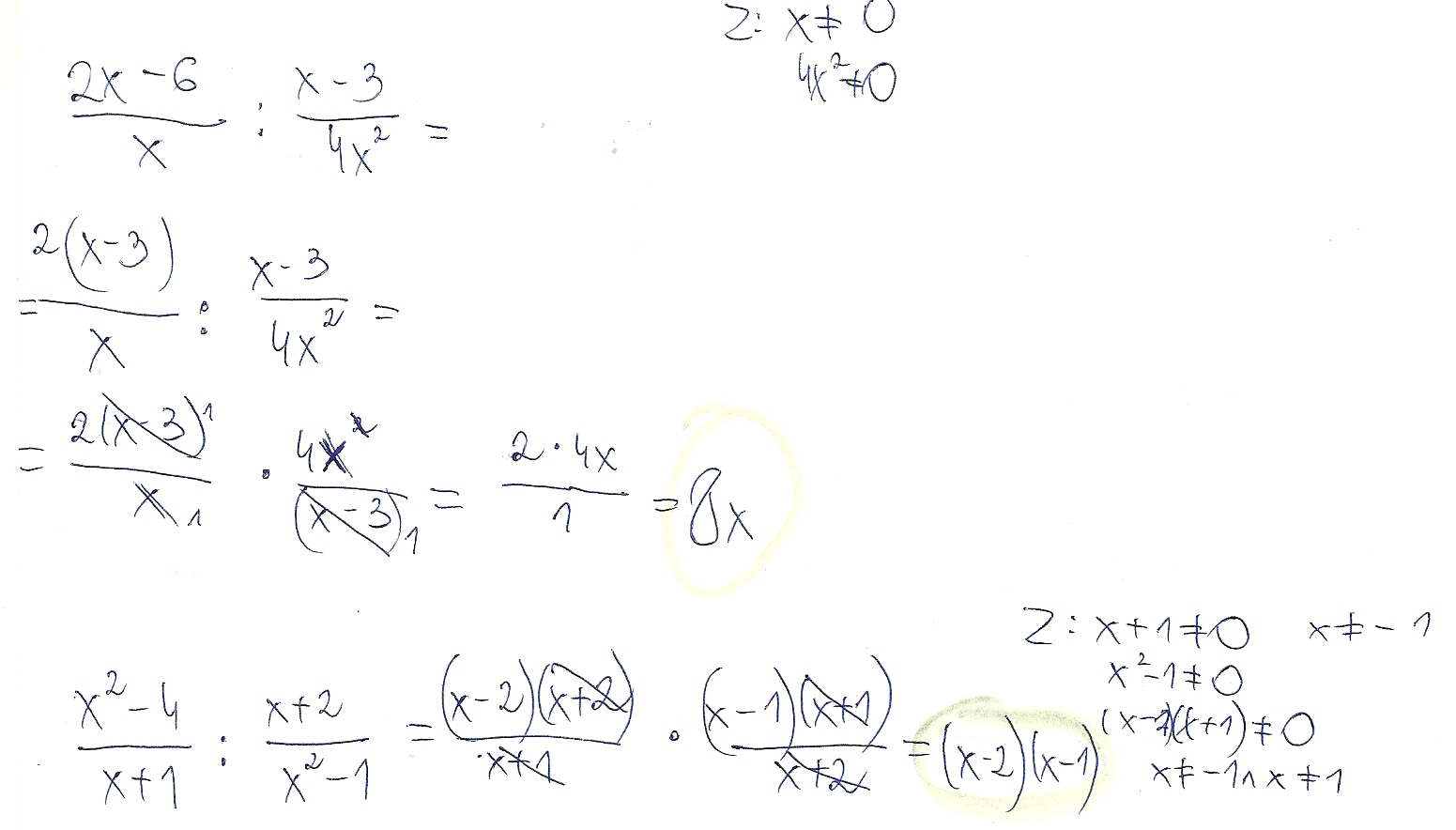
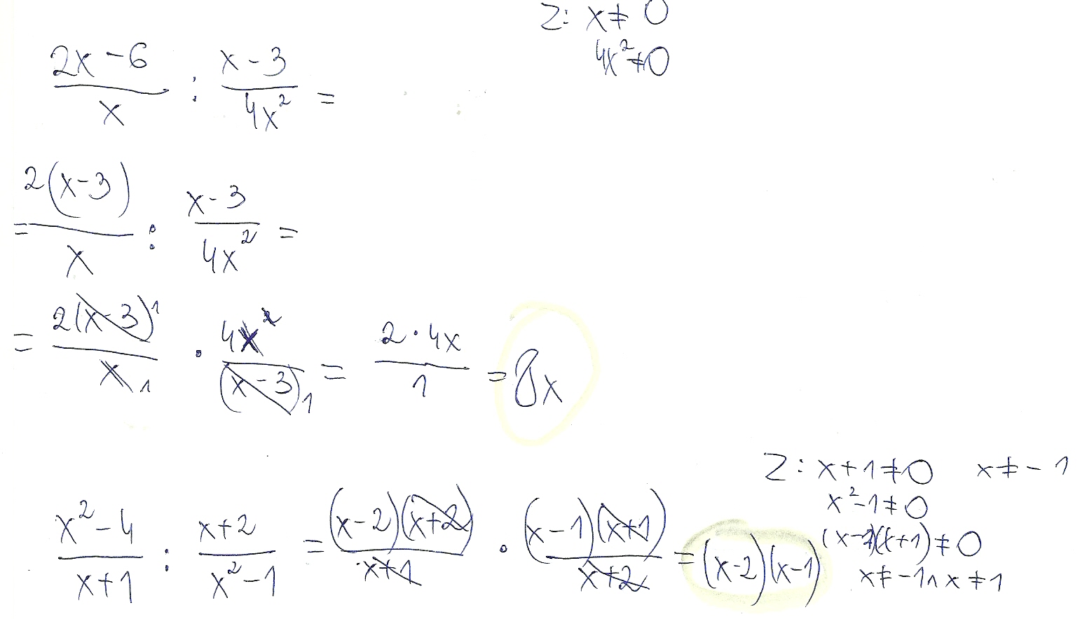
Wykonaj dzielenie , odpowiedź podaj w najprostszej postaci. 2x-6/x:x-3/4x^2 x^2-4/x+1:x+2/x^2-1

Zadanie 6733 (rozwiązane)

Ekspresowy Kurs Maturalny z matematyki

Zdajesz matematykę bo musisz? Przygotuj się do matury nawet w 7 dni! Zapisz się dzisiaj
Zadanie dodane przez Karolinaa , 17.10.2013 20:28
Default avatar
Wykonaj dzielenie , odpowiedź podaj w najprostszej postaci.
2x-6/x:x-3/4x^2
x^2-4/x+1:x+2/x^2-1

Nadesłane rozwiązania ( 2 )

Rozwiązanie 1 dodane przez maturzystka1995 , 20.10.2013 20:59
Default avatar
Nie jestem pewna czy trzeba robić założenia, ale jeśli chodzi o wynik uproszczony to raczej tak pewnie wyglądać jak na załączonym obrazku :)
Musisz się zalogować aby dodać komentarz
Rozwiązanie 2 dodane przez maturzystka1995 , 20.10.2013 21:06
Default avatar
Powinno być dobrze
Musisz się zalogować aby dodać komentarz

Znasz inny sposób na rozwiązanie tego zadania?

Dodaj swoje rozwiązanie

Dodaj swoje rozwiązanie:

Zabronione jest kopiowanie wszelkich treści!
Musisz się zalogować aby dodać rozwiazanie do zadania.
Strona korzysta z plików cookie w celu realizacji usług zgodnie z Polityką Prywatności. Możesz określić warunki przechowywania lub dostępu do cookie w twojej przeglądarce lub konfiguracji usługi.