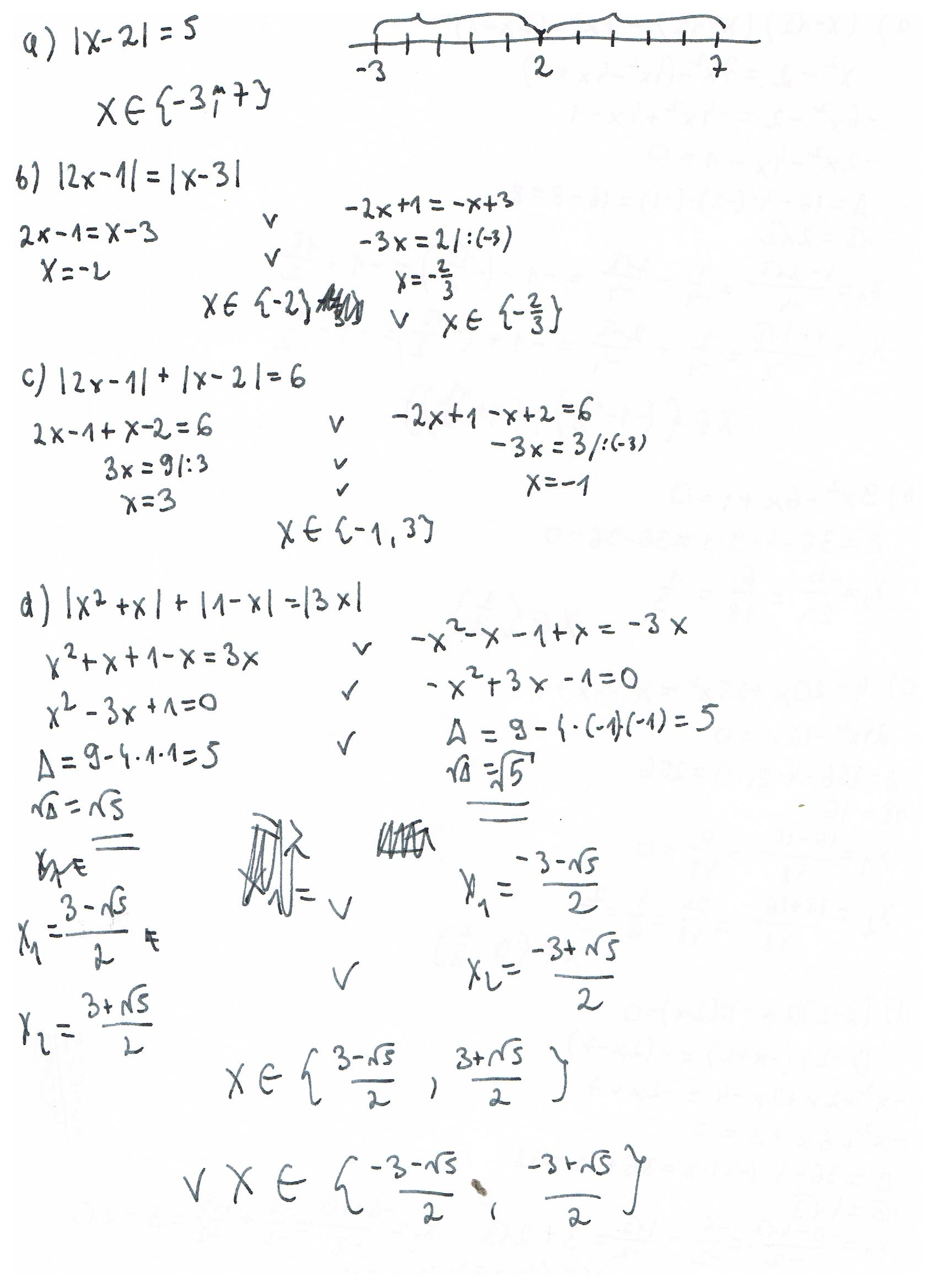
Rozwiąż równania: a) |x-2|=5 b) |2x-1|=|x-3| c) |2x-1|+|x-2|=6 d) |$x^{2}$ + x| + |1-x| = |3x|

Zadanie 4038 (rozwiązane)

Ekspresowy Kurs Maturalny z matematyki

Zdajesz matematykę bo musisz? Przygotuj się do matury nawet w 7 dni! Zapisz się dzisiaj
Zadanie dodane przez werciaa_a , 16.10.2012 12:36
Werciaa a 20121015170434 thumb
Rozwiąż równania:
a) |x-2|=5
b) |2x-1|=|x-3|
c) |2x-1|+|x-2|=6
d) |x^{2} + x| + |1-x| = |3x|

Nadesłane rozwiązania ( 1 )

Rozwiązanie 1 dodane przez paulinakk , 16.10.2012 16:13
Paulinakk 20121011194331 thumb
powinno byc dobrze
Musisz się zalogować aby dodać komentarz

Znasz inny sposób na rozwiązanie tego zadania?

Dodaj swoje rozwiązanie

Dodaj swoje rozwiązanie:

Zabronione jest kopiowanie wszelkich treści!
Musisz się zalogować aby dodać rozwiazanie do zadania.
Strona korzysta z plików cookie w celu realizacji usług zgodnie z Polityką Prywatności. Możesz określić warunki przechowywania lub dostępu do cookie w twojej przeglądarce lub konfiguracji usługi.