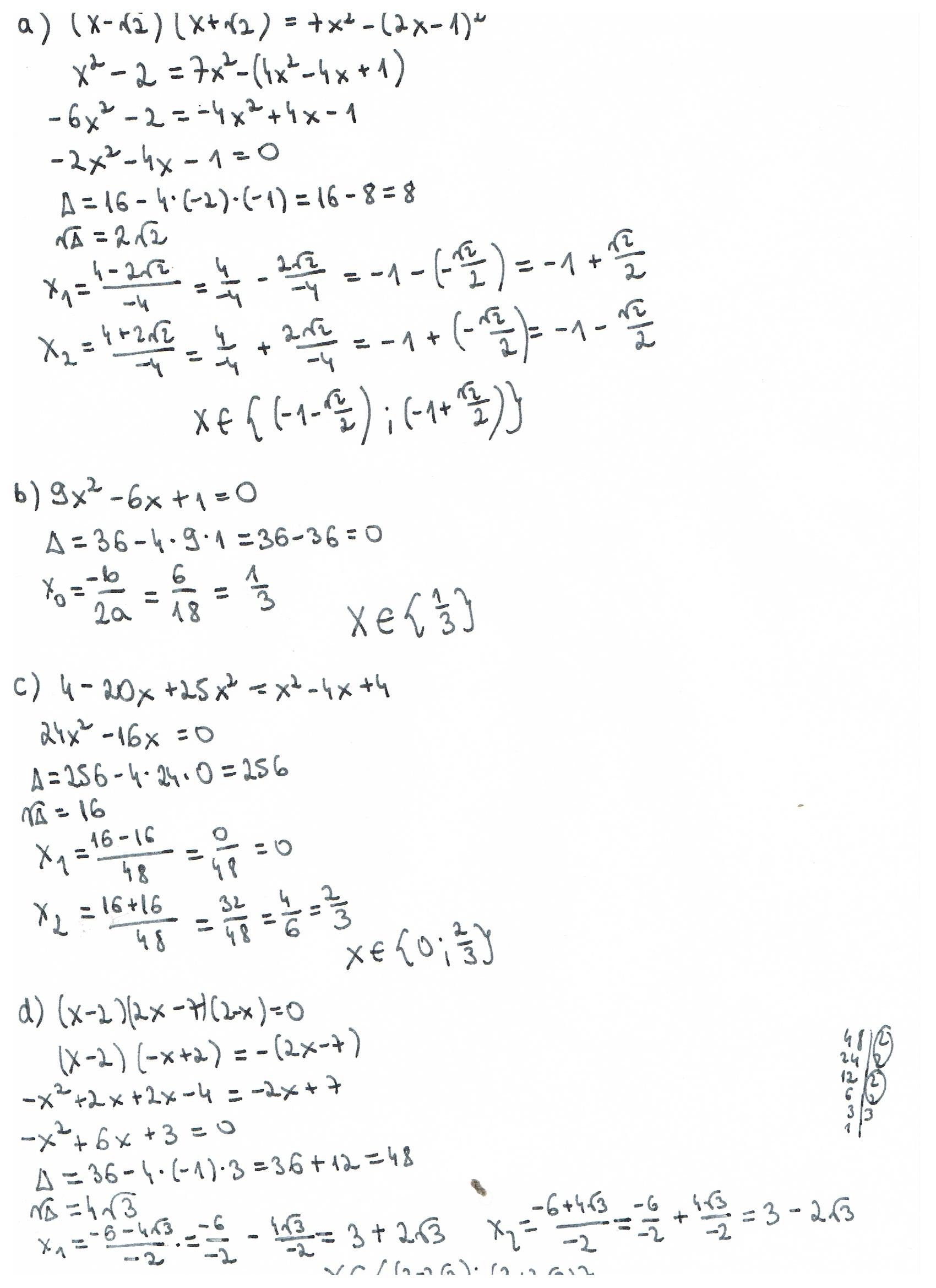
rozwiąż równanie a)(x-$\sqrt{2}$) (x+$\sqrt{2}$)=$7x^{2}$-$(2x-1)^{2}$ b)$9x^{2}$-6x+1=0 c)4-20x+$25x^{2}$=$x^{2}$-4x+4 d) (x-2)2x-7(2-x)=0

Zadanie 4044 (rozwiązane)

Ekspresowy Kurs Maturalny z matematyki

Zdajesz matematykę bo musisz? Przygotuj się do matury nawet w 7 dni! Zapisz się dzisiaj
Zadanie dodane przez xxxxxxxxxx , 16.10.2012 15:13
Default avatar
rozwiąż równanie
a)(x-\sqrt{2}) (x+\sqrt{2})=7x^{2}-(2x-1)^{2}
b)9x^{2}-6x+1=0
c)4-20x+25x^{2}=x^{2}-4x+4
d) (x-2)2x-7(2-x)=0

Nadesłane rozwiązania ( 1 )

Rozwiązanie 1 dodane przez paulinakk , 16.10.2012 16:00
Paulinakk 20121011194331 thumb
mam nadzieje, ze jest dobrze ;)
Musisz się zalogować aby dodać komentarz

Znasz inny sposób na rozwiązanie tego zadania?

Dodaj swoje rozwiązanie

Dodaj swoje rozwiązanie:

Zabronione jest kopiowanie wszelkich treści!
Musisz się zalogować aby dodać rozwiazanie do zadania.
Strona korzysta z plików cookie w celu realizacji usług zgodnie z Polityką Prywatności. Możesz określić warunki przechowywania lub dostępu do cookie w twojej przeglądarce lub konfiguracji usługi.