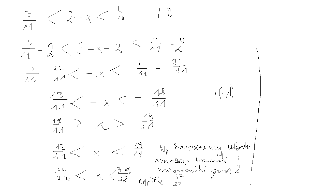
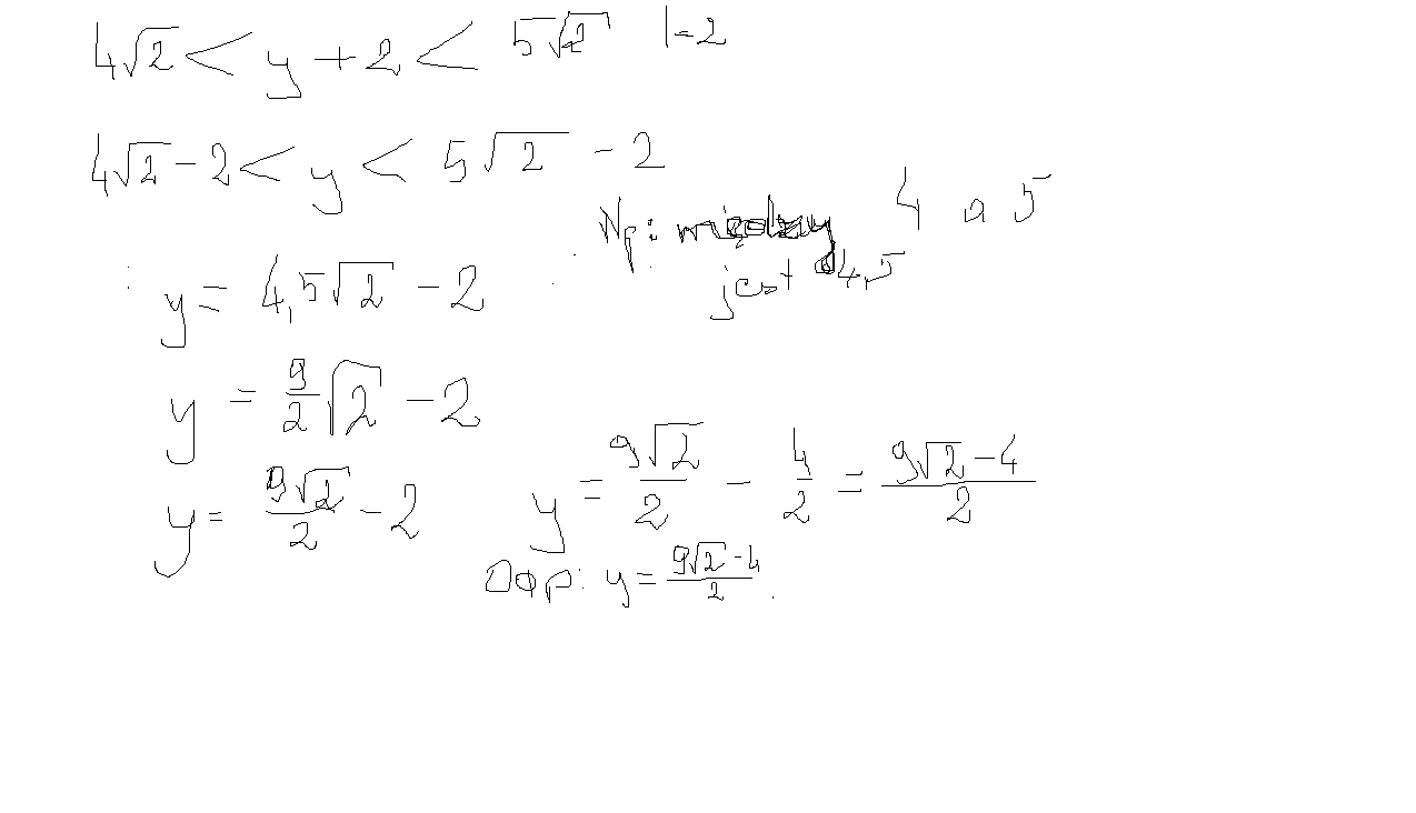
podaj przykład liczby wymiernej x oraz liczby nie wymiernie y , które spełniają nierówności: 3/11 < 2-x < 4/11, 4 $\sqrt{2}$ < y+2 <5 $\sqrt{2}$

Zadanie 4289 (rozwiązane)

Ekspresowy Kurs Maturalny z matematyki

Zdajesz matematykę bo musisz? Przygotuj się do matury nawet w 7 dni! Zapisz się dzisiaj
Zadanie dodane przez Nutka , 10.11.2012 17:05
Default avatar
podaj przykład liczby wymiernej x oraz liczby nie wymiernie y , które spełniają nierówności:
3/11 < 2-x < 4/11,
4 \sqrt{2} < y+2 <5 \sqrt{2}

Nadesłane rozwiązania ( 1 )

Rozwiązanie 1 dodane przez monijatcz , 10.11.2012 18:33
Monijatcz 20121028144130 thumb

załączniki
Musisz się zalogować aby dodać komentarz

Znasz inny sposób na rozwiązanie tego zadania?

Dodaj swoje rozwiązanie

Dodaj swoje rozwiązanie:

Zabronione jest kopiowanie wszelkich treści!
Musisz się zalogować aby dodać rozwiazanie do zadania.
Strona korzysta z plików cookie w celu realizacji usług zgodnie z Polityką Prywatności. Możesz określić warunki przechowywania lub dostępu do cookie w twojej przeglądarce lub konfiguracji usługi.