podaj przykład liczby wymiernej oraz liczby niewymiernej ktróre należą do przedziału ($\sqrt{2}$ ;$\sqrt{3}$).

Zadanie 4290 (rozwiązane)

Ekspresowy Kurs Maturalny z matematyki

Zdajesz matematykę bo musisz? Przygotuj się do matury nawet w 7 dni! Zapisz się dzisiaj
Zadanie dodane przez Nutka , 10.11.2012 17:10
Default avatar
podaj przykład liczby wymiernej oraz liczby niewymiernej ktróre należą do przedziału (\sqrt{2} ;\sqrt{3}).

Nadesłane rozwiązania ( 1 )

Rozwiązanie 1 dodane przez monijatcz , 10.11.2012 18:10
Monijatcz 20121028144130 thumb
\sqrt{2} to w przybliżeniu 1,414
\sqrt{3} to w przybliżeniu 1,732
Liczbą wymierną między tymi pierwiastkami jest np. liczba 1,5
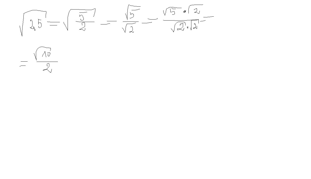
zaś liczbą niewymierną jest \sqrt{2,5} przy czym powinniśmy zapisać tę liczbę w postaci ułamka zwykłego czyli ... dalsza częsć w załączniku ( nie wiem jak poprawnie napisac formułe pierwiastka z ułamka)
    • Default avatar
      Nutka 10.11.2012 18:16

      dzięki ;)

    • Monijatcz 20121028144130 thumb
      monijatcz 10.11.2012 18:20

      Cieszę się, że mogłam pomóc. :)

Musisz się zalogować aby dodać komentarz

Znasz inny sposób na rozwiązanie tego zadania?

Dodaj swoje rozwiązanie

Dodaj swoje rozwiązanie:

Zabronione jest kopiowanie wszelkich treści!
Musisz się zalogować aby dodać rozwiazanie do zadania.
Strona korzysta z plików cookie w celu realizacji usług zgodnie z Polityką Prywatności. Możesz określić warunki przechowywania lub dostępu do cookie w twojej przeglądarce lub konfiguracji usługi.