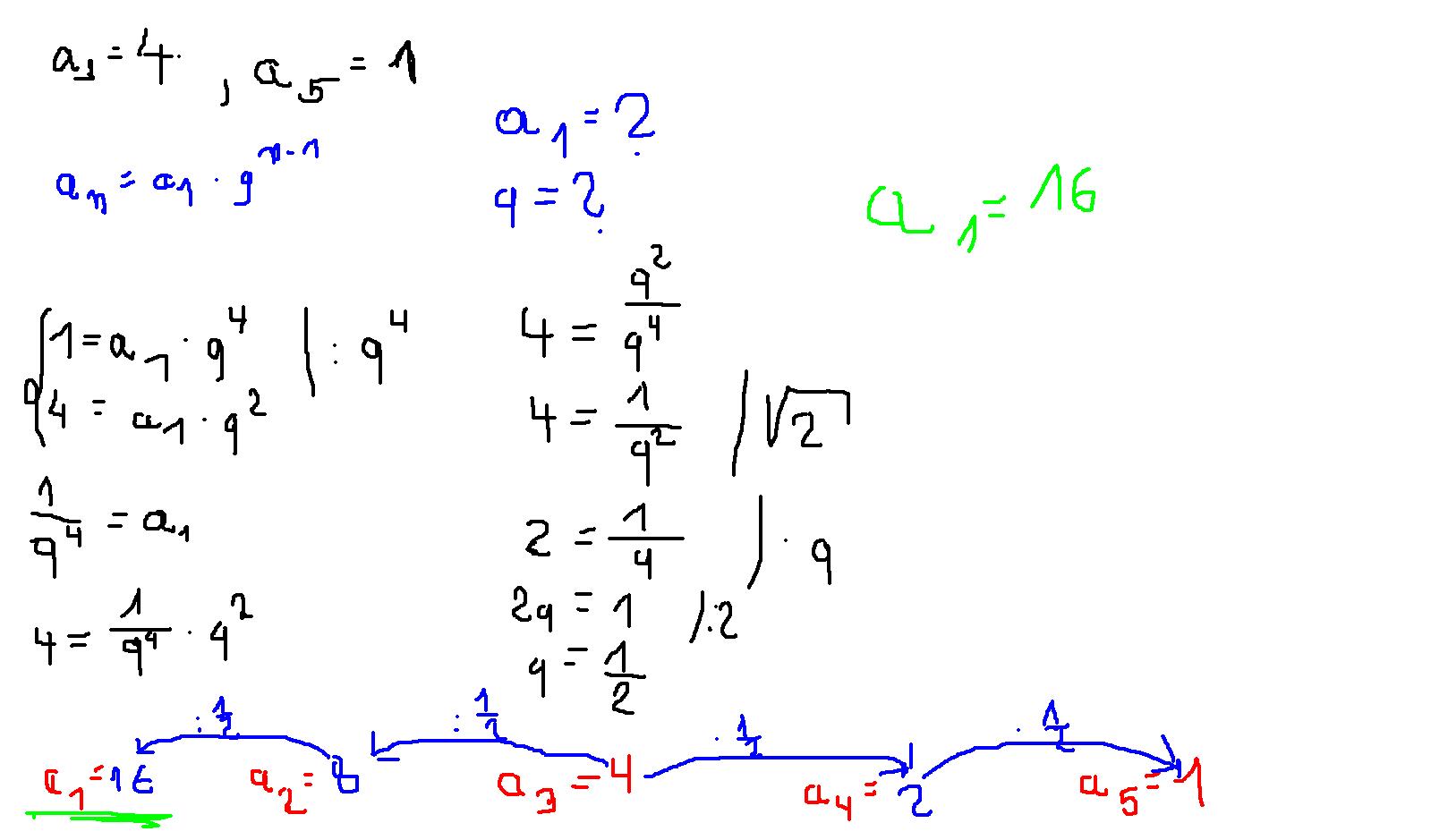
Trzeci wyraz ciągu geometrycznego jest równy 4, a piąty wyraz tego ciągu jest równy 1. Pierwszy wyraz tego ciągu jest równy A. 4 B. 4 2 C. 16 D. 16 2

Zadanie 3695 (rozwiązane)

Ekspresowy Kurs Maturalny z matematyki

Zdajesz matematykę bo musisz? Przygotuj się do matury nawet w 7 dni! Zapisz się dzisiaj
Zadanie dodane przez klaudia91 , 14.08.2012 10:37
Default avatar
Trzeci wyraz ciągu geometrycznego jest równy 4, a piąty wyraz tego ciągu jest równy 1.
Pierwszy wyraz tego ciągu jest równy

A. 4 B. 4 2 C. 16 D. 16 2

Nadesłane rozwiązania ( 4 )

Rozwiązanie 1 dodane przez Abaddon24 , 14.08.2012 20:56
Abaddon24 20111123224018 thumb
ODP. C
    • Default avatar
      konto-usuniete 06.11.2013 14:32

      Rower

Musisz się zalogować aby dodać komentarz
Rozwiązanie 2 dodane przez konto-usuniete , 06.11.2013 14:31
Default avatar
Rower
    • Default avatar
      konto-usuniete 08.11.2013 12:59

      Kibel z obrazem

Musisz się zalogować aby dodać komentarz
Rozwiązanie 3 dodane przez konto-usuniete , 08.11.2013 13:01
Default avatar
Hagrid
Musisz się zalogować aby dodać komentarz
Rozwiązanie 4 dodane przez konto-usuniete , 08.11.2013 13:01
Default avatar
Kibel
Musisz się zalogować aby dodać komentarz

Znasz inny sposób na rozwiązanie tego zadania?

Dodaj swoje rozwiązanie

Dodaj swoje rozwiązanie:

Zabronione jest kopiowanie wszelkich treści!
Musisz się zalogować aby dodać rozwiazanie do zadania.
Strona korzysta z plików cookie w celu realizacji usług zgodnie z Polityką Prywatności. Możesz określić warunki przechowywania lub dostępu do cookie w twojej przeglądarce lub konfiguracji usługi.