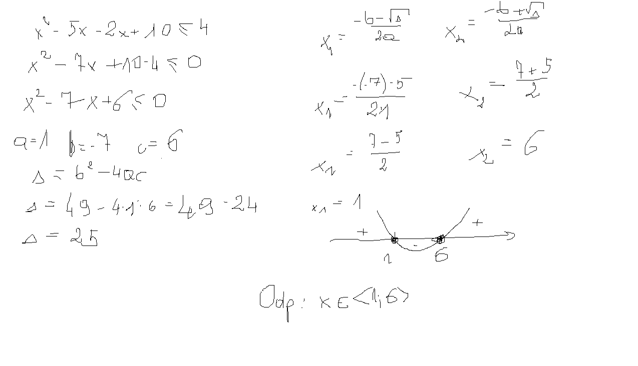
Rozwiąż nierówność (x-2)(x-5)mniejsze lub równe od 4

Zadanie 4272 (rozwiązane)

Ekspresowy Kurs Maturalny z matematyki

Zdajesz matematykę bo musisz? Przygotuj się do matury nawet w 7 dni! Zapisz się dzisiaj
Zadanie dodane przez alisha , 09.11.2012 15:51
Default avatar
Rozwiąż nierówność (x-2)(x-5)mniejsze lub równe od 4

Nadesłane rozwiązania ( 1 )

Rozwiązanie 1 dodane przez monijatcz , 09.11.2012 17:03
Monijatcz 20121028144130 thumb
załącznik
Wyjaśnienie:
Lewą stronę nierówności wymnażamy.
Przenosimy wszystko na lewą stronę.
Otrzymujemy nierówność kwadratową. Obliczamy miejsca zerowe. Zaznaczamy na osi liczbowej otrzymane miejsca zerowe, rysujemy parabolę. Odczytujemy nierówność.
Musisz się zalogować aby dodać komentarz

Znasz inny sposób na rozwiązanie tego zadania?

Dodaj swoje rozwiązanie

Dodaj swoje rozwiązanie:

Zabronione jest kopiowanie wszelkich treści!
Musisz się zalogować aby dodać rozwiazanie do zadania.
Strona korzysta z plików cookie w celu realizacji usług zgodnie z Polityką Prywatności. Możesz określić warunki przechowywania lub dostępu do cookie w twojej przeglądarce lub konfiguracji usługi.