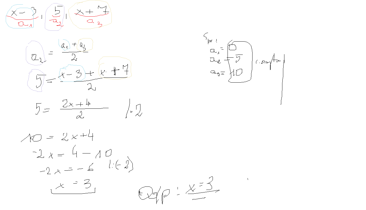
Wyznacz x,jezeli liczby x-3,5 , x+7 sa pierwszymi,drugimi i trzecim wyrazem ciagu arytmetycznego.Oblicz x.

Zadanie 4303 (rozwiązane)

Ekspresowy Kurs Maturalny z matematyki

Zdajesz matematykę bo musisz? Przygotuj się do matury nawet w 7 dni! Zapisz się dzisiaj
Zadanie dodane przez margarita1405 , 11.11.2012 08:52
Default avatar
Wyznacz x,jezeli liczby x-3,5 , x+7 sa pierwszymi,drugimi i trzecim wyrazem ciagu arytmetycznego.Oblicz x.

Nadesłane rozwiązania ( 1 )

Rozwiązanie 1 dodane przez monijatcz , 11.11.2012 09:16
Monijatcz 20121028144130 thumb
załącznik
Korzystamy z własności ciągu arytmetycznego, że drugi wyraz jest połową sumy pierwszego i trzeciego wyrazu.
Musisz się zalogować aby dodać komentarz

Znasz inny sposób na rozwiązanie tego zadania?

Dodaj swoje rozwiązanie

Dodaj swoje rozwiązanie:

Zabronione jest kopiowanie wszelkich treści!
Musisz się zalogować aby dodać rozwiazanie do zadania.
Strona korzysta z plików cookie w celu realizacji usług zgodnie z Polityką Prywatności. Możesz określić warunki przechowywania lub dostępu do cookie w twojej przeglądarce lub konfiguracji usługi.