Proszę o rozwiązania zadania w załączniku.

Zadanie 7643 (rozwiązane)

Ekspresowy Kurs Maturalny z matematyki

Zdajesz matematykę bo musisz? Przygotuj się do matury nawet w 7 dni! Zapisz się dzisiaj
Zadanie dodane przez czeko300 , 28.11.2014 15:40
Default avatar
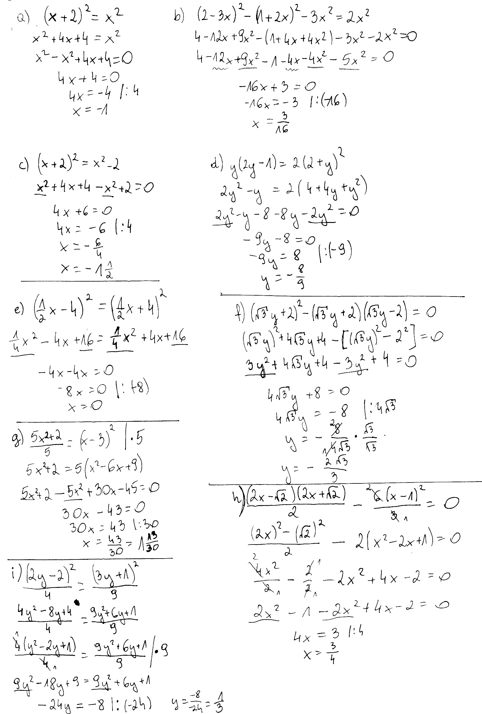
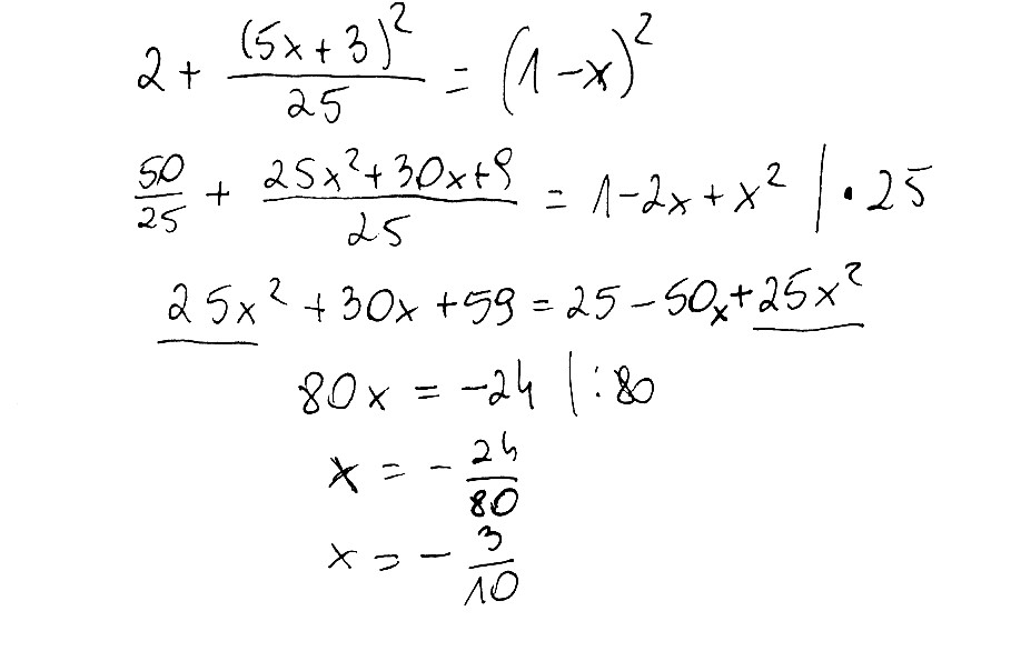
Proszę o rozwiązania zadania w załączniku.

Nadesłane rozwiązania ( 1 )

Rozwiązanie 1 dodane przez unicorn05 , 02.12.2014 09:20
Unicorn05 20141103120325 thumb
(zał)
Musisz się zalogować aby dodać komentarz

Znasz inny sposób na rozwiązanie tego zadania?

Dodaj swoje rozwiązanie

Dodaj swoje rozwiązanie:

Zabronione jest kopiowanie wszelkich treści!
Musisz się zalogować aby dodać rozwiazanie do zadania.
Strona korzysta z plików cookie w celu realizacji usług zgodnie z Polityką Prywatności. Możesz określić warunki przechowywania lub dostępu do cookie w twojej przeglądarce lub konfiguracji usługi.