Trzeba rozwiazac zadanie ,,,kto zna odpowiedz bedzie super potrzebuje dobrej dpowiedzi'''oto one: sa trzy 1 1 1 jedynki. mozna wstawic miedzy nimi dowolne znaki dodawania mnozenia dzielenia odejmowania nawiasy pierwiastki potegi cokolwiek tylko musi wyjsc wynik = 6 1 1 1 = 6 jak rozwiazac mam to zadanie prosze o pomoc.. nie wolno dodawac innych liczb.... czy ktos zna odpowiedz..nie wiem do jakiej kategori zaliczyc to zadanie

Zadanie 7843 (rozwiązane)

Ekspresowy Kurs Maturalny z matematyki

Zdajesz matematykę bo musisz? Przygotuj się do matury nawet w 7 dni! Zapisz się dzisiaj
Zadanie dodane przez SKULKID , 18.09.2015 11:33
Skulkid 20150918112616 thumb
Trzeba rozwiazac zadanie ,,,kto zna odpowiedz bedzie super potrzebuje dobrej dpowiedzi'''oto one:
sa trzy 1 1 1 jedynki. mozna wstawic miedzy nimi dowolne znaki dodawania mnozenia dzielenia odejmowania nawiasy pierwiastki potegi cokolwiek tylko musi wyjsc wynik = 6

1 1 1 = 6 jak rozwiazac mam to zadanie prosze o pomoc..

nie wolno dodawac innych liczb....
czy ktos zna odpowiedz..nie wiem do jakiej kategori zaliczyc to zadanie

Nadesłane rozwiązania ( 1 )

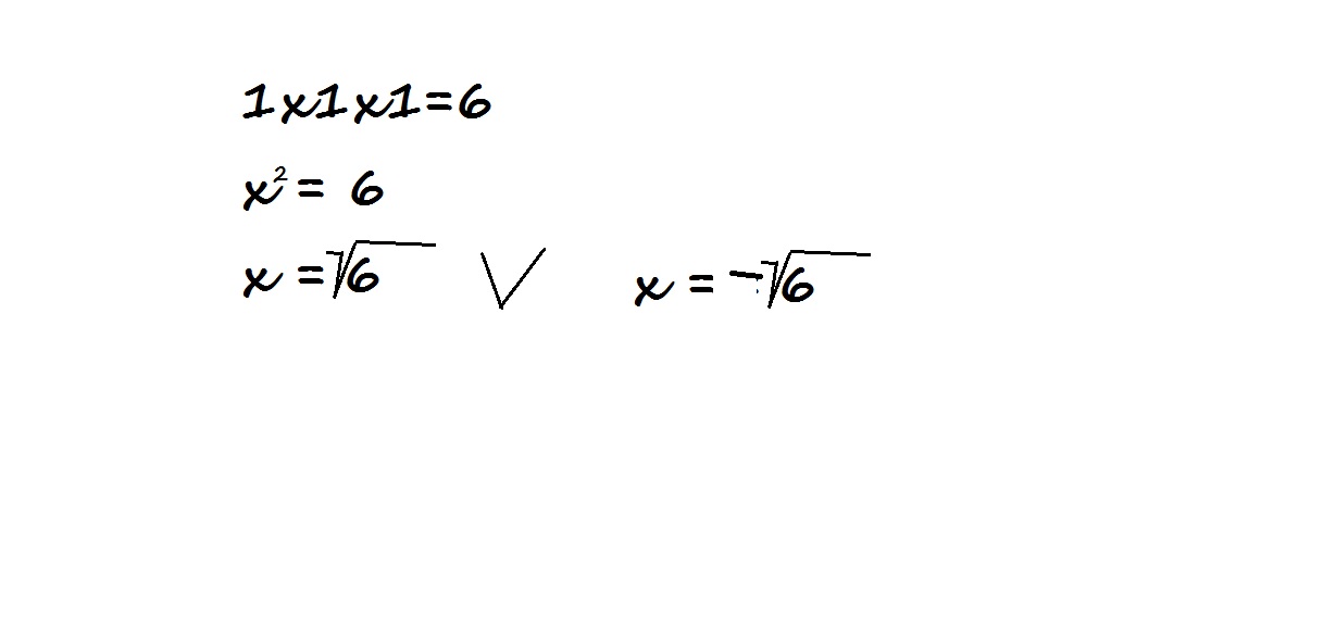
Rozwiązanie 1 dodane przez MarkotnyED , 19.09.2015 09:19
Markotnyed 20150905193408 thumb
Sorry, jeszcze tego nie ogarniam, dlatego dodaje załącznik
    • Skulkid 20150918112616 thumb
      SKULKID 19.09.2015 12:56

      1*1*1=6 ??? RACZEJ NIE BEDZIE 6
      MarkotnyED NIE WIEM JAK ROZWIAZAC TO ZADANIE ZEBY WYSZLO 6..CZY TWOJE ZADANIE JEST NA PEWNO DOBRZE ROZWIAZANE....JESLI SYN DOSTANIE DOBRA OCENE TO BARDZO CI DZIEKUJE I NA PEWNO DODAM TOBIE PUNKTY

    • Markotnyed 20150905193408 thumb
      MarkotnyED 20.09.2015 18:17

      Nie razy, tylko x - literka x jako niewiadoma. Napisałeś, żeby wpisać cokolwiek, byle by wyszło 6, tylko dzięki algebrze takie równanie ma sens.

    • Skulkid 20150918112616 thumb
      SKULKID 21.09.2015 15:06

      dziekuje bardzo super ze sa tacy ludzie ktorzy potrafia pomoc..pozdrawiam

Musisz się zalogować aby dodać komentarz

Znasz inny sposób na rozwiązanie tego zadania?

Dodaj swoje rozwiązanie

Dodaj swoje rozwiązanie:

Zabronione jest kopiowanie wszelkich treści!
Musisz się zalogować aby dodać rozwiazanie do zadania.
Strona korzysta z plików cookie w celu realizacji usług zgodnie z Polityką Prywatności. Możesz określić warunki przechowywania lub dostępu do cookie w twojej przeglądarce lub konfiguracji usługi.