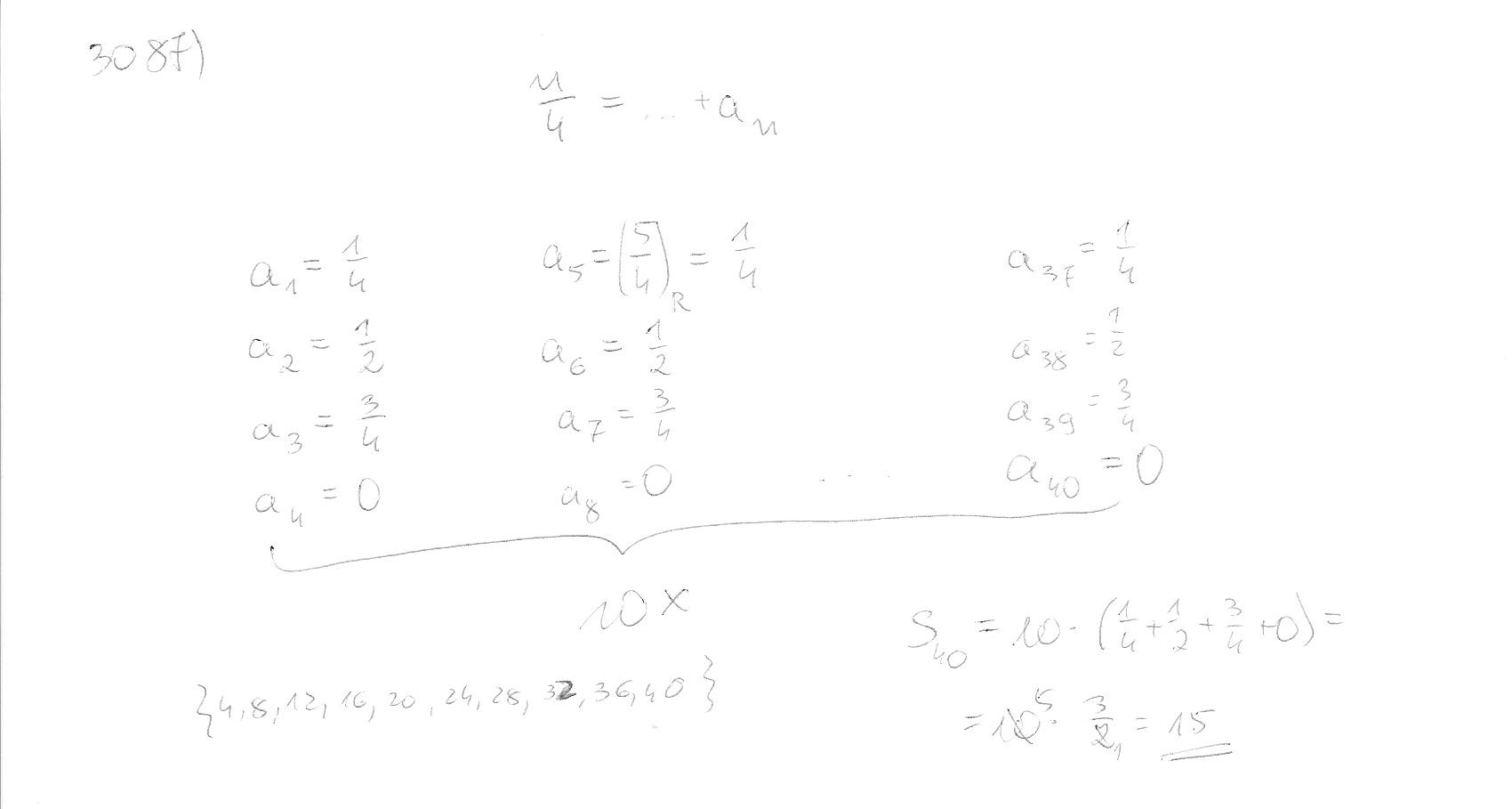
Dany jest ciąg, w którym n-ty wyraz ciągu jest równy reszcie z dzielenia liczby n przez 4. Ile wynosi suma 40 początkowych kolejnych wyrazów ciągu ?

Zadanie 3087 (rozwiązane)

Ekspresowy Kurs Maturalny z matematyki

Zdajesz matematykę bo musisz? Przygotuj się do matury nawet w 7 dni! Zapisz się dzisiaj
Zadanie dodane przez krupcia , 14.04.2012 11:12
Krupcia 20120212173319 thumb
Dany jest ciąg, w którym n-ty wyraz ciągu jest równy reszcie z dzielenia liczby n przez 4. Ile wynosi suma 40 początkowych kolejnych wyrazów ciągu ?

Nadesłane rozwiązania ( 1 )

Rozwiązanie 1 dodane przez AnnaS , 05.05.2012 20:32
Annas 20120518205519 thumb
Rozwiązanie w zalaczniku. Nie pamietalam, jak sie zapisuje reszte z dzielenia, ale nie trzeba tego pisac w rozwiazaniu.
Musisz się zalogować aby dodać komentarz

Znasz inny sposób na rozwiązanie tego zadania?

Dodaj swoje rozwiązanie

Dodaj swoje rozwiązanie:

Zabronione jest kopiowanie wszelkich treści!
Musisz się zalogować aby dodać rozwiazanie do zadania.
Strona korzysta z plików cookie w celu realizacji usług zgodnie z Polityką Prywatności. Możesz określić warunki przechowywania lub dostępu do cookie w twojej przeglądarce lub konfiguracji usługi.