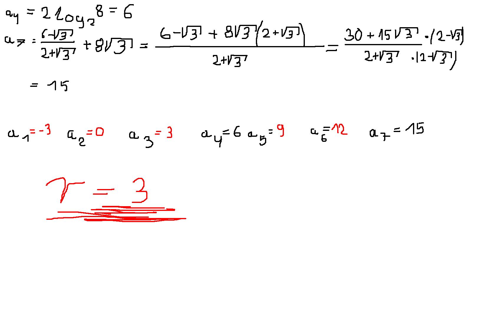
Czwarty wyraz ciągu arytmetycznego jest równy $2log_{2}8$, a siódmy wyraz to$ \frac{6-\sqrt{3}}{2+\sqrt{3}} +8\sqrt{3} $ . wyznacz r.

Zadanie 3811 (rozwiązane)

Ekspresowy Kurs Maturalny z matematyki

Zdajesz matematykę bo musisz? Przygotuj się do matury nawet w 7 dni! Zapisz się dzisiaj
Zadanie dodane przez darka2302 , 25.09.2012 09:57
Darka2302 20120924084822 thumb
Czwarty wyraz ciągu arytmetycznego jest równy 2log_{2}8, a siódmy wyraz to \frac{6-\sqrt{3}}{2+\sqrt{3}} +8\sqrt{3} . wyznacz r.

Nadesłane rozwiązania ( 1 )

Rozwiązanie 1 dodane przez Abaddon24 , 02.10.2012 06:08
Abaddon24 20111123224018 thumb
zadanie w załączniku
Musisz się zalogować aby dodać komentarz

Znasz inny sposób na rozwiązanie tego zadania?

Dodaj swoje rozwiązanie

Dodaj swoje rozwiązanie:

Zabronione jest kopiowanie wszelkich treści!
Musisz się zalogować aby dodać rozwiazanie do zadania.
Strona korzysta z plików cookie w celu realizacji usług zgodnie z Polityką Prywatności. Możesz określić warunki przechowywania lub dostępu do cookie w twojej przeglądarce lub konfiguracji usługi.