Rzucasz trzy razy moneta Oblicz prawdopodobienstwo otrzymania : a)w conajmiej dwoch rzutach reszke b)za pierwszym razem orla c) za kazdym razem ten sam wynik

Zadanie 4114 (rozwiązane)

Ekspresowy Kurs Maturalny z matematyki

Zdajesz matematykę bo musisz? Przygotuj się do matury nawet w 7 dni! Zapisz się dzisiaj
Zadanie dodane przez margarita1405 , 29.10.2012 04:58
Default avatar
Rzucasz trzy razy moneta Oblicz prawdopodobienstwo otrzymania :
a)w conajmiej dwoch rzutach reszke
b)za pierwszym razem orla
c) za kazdym razem ten sam wynik

Nadesłane rozwiązania ( 2 )

Rozwiązanie 1 dodane przez monijatcz , 29.10.2012 12:02
Monijatcz 20121028144130 thumb
załącznik
Musisz się zalogować aby dodać komentarz
Rozwiązanie 2 dodane przez Science4U , 29.10.2012 12:12
Science4u 20110912181541 thumb

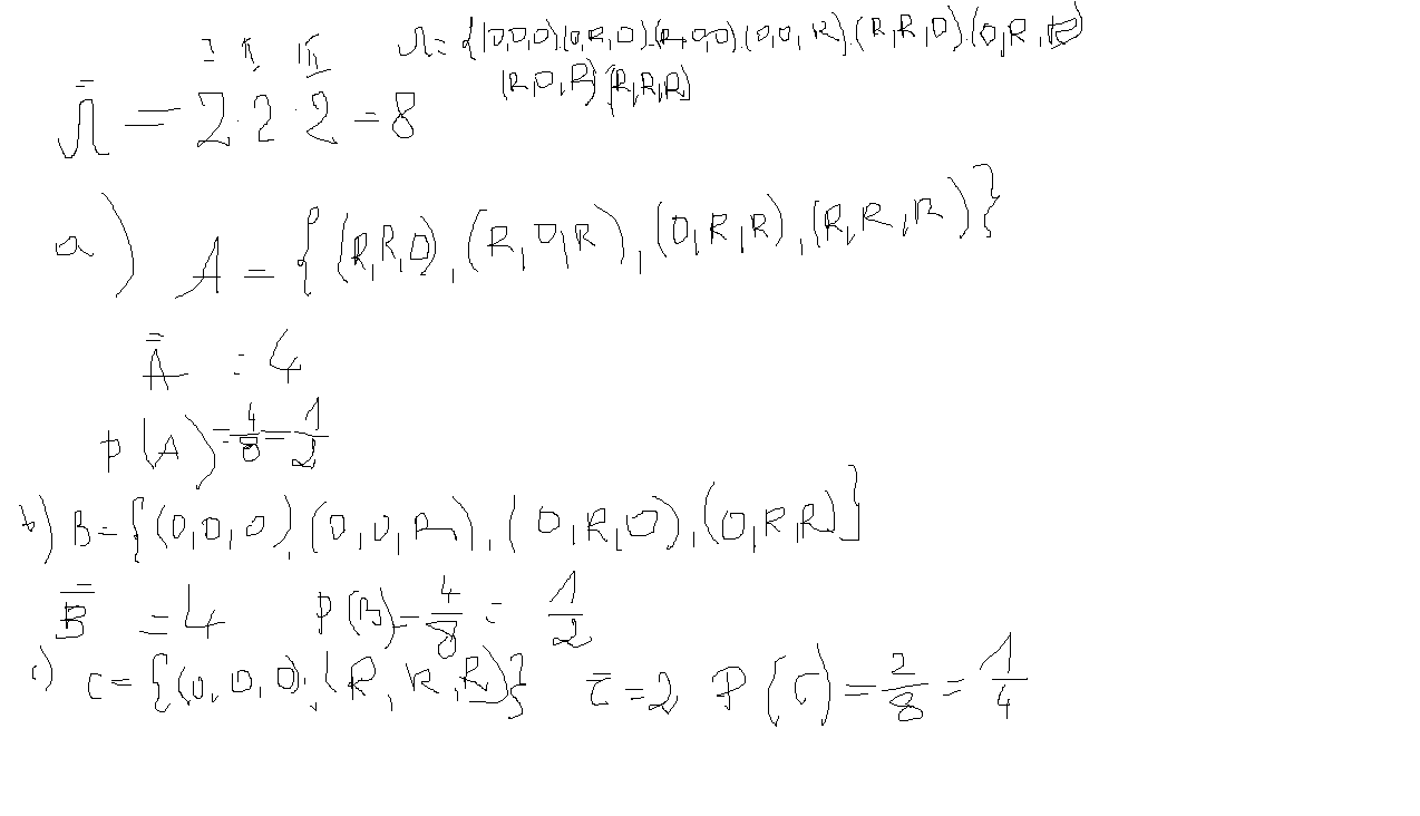
W trzykrotnym rzucie monetą przestrzeń zdarzeń elementarnych jest następująca:

\Omega = \{ (o,o,o);(o,o,r);(o,r,o);(r,o,o);(o,r,r);(r,o,r);(r,r,o);(r,r,r)\}

Stąd:

\bar{\bar{\Omega }}=8

a)

A=\{ (o,r,r);(r,o,r);(o,r,r);(r,r,r)\}

Stąd:

\bar{\bar{A}}=4

Więc:

P(A)=\cfrac{4}{8}=\cfrac{1}{2}

b)

B=\{  (o,o,o);(o,o,r);(o,r,o);(o,r,r)\}

Stąd:

\bar{\bar{B}}=4

Więc:

P(B)=\cfrac{4}{8}=\cfrac{1}{2}

c)

C=\{  (o,o,o);(r,r,r)\}

Stąd:

\bar{\bar{C}}=2

Więc:

P(C)=\cfrac{2}{8}=\cfrac{1}{4}
Musisz się zalogować aby dodać komentarz

Znasz inny sposób na rozwiązanie tego zadania?

Dodaj swoje rozwiązanie

Dodaj swoje rozwiązanie:

Zabronione jest kopiowanie wszelkich treści!
Musisz się zalogować aby dodać rozwiazanie do zadania.
Strona korzysta z plików cookie w celu realizacji usług zgodnie z Polityką Prywatności. Możesz określić warunki przechowywania lub dostępu do cookie w twojej przeglądarce lub konfiguracji usługi.