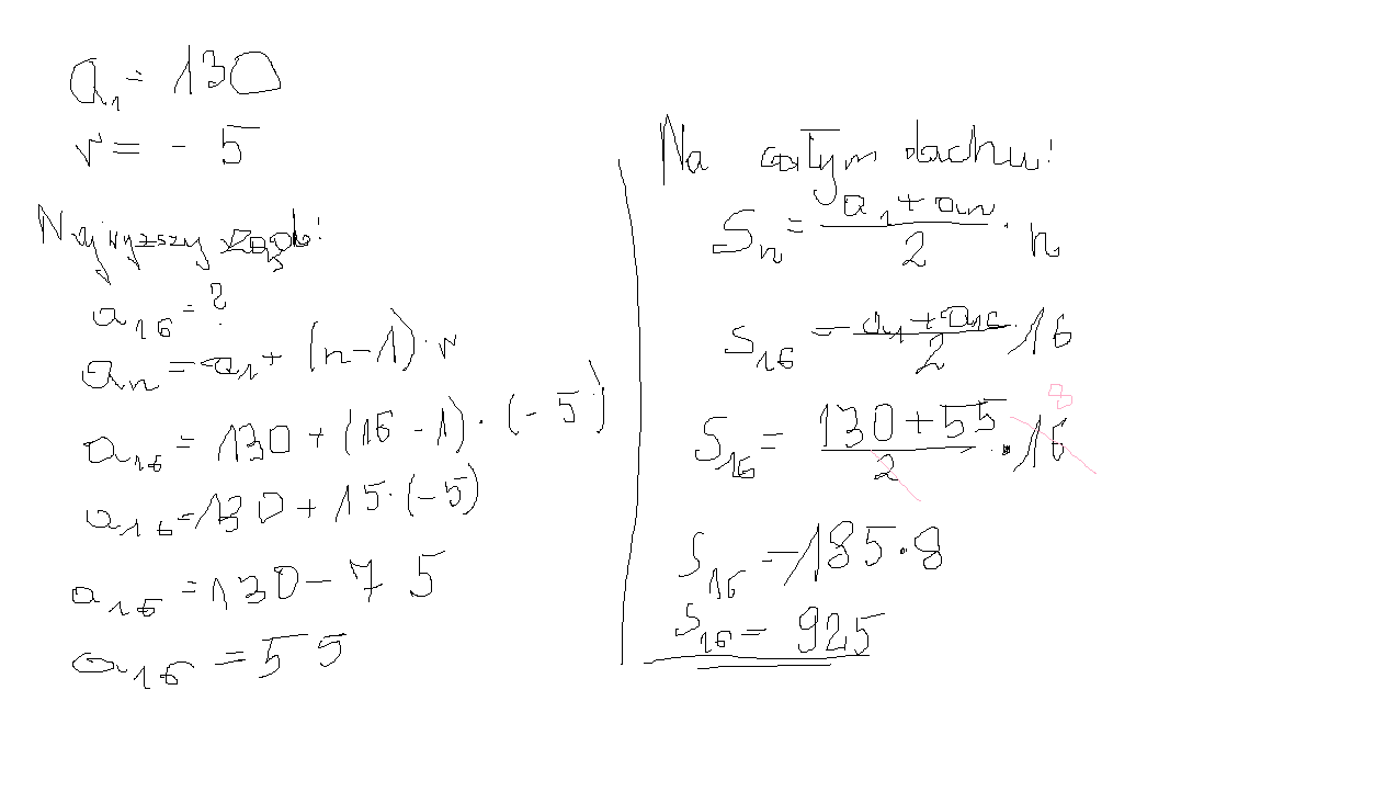
ZADANIE: Dachówki ułożone są na jednej poleć dachu w 16 rzędach.Najniższy rząd składa się ze 130 dachówek,a każdym następnym rzędzie leży o 5 dachówek mniej niż w rzędzie poprzednim.Ile dachówek leży w najwyższym rzędzie?Ile dachówek leży na całej poleci dachu?

Zadanie 4116 (rozwiązane)

Ekspresowy Kurs Maturalny z matematyki

Zdajesz matematykę bo musisz? Przygotuj się do matury nawet w 7 dni! Zapisz się dzisiaj
Zadanie dodane przez Ewusia90 , 29.10.2012 12:49
Ewusia90 20121003101901 thumb
ZADANIE:
Dachówki ułożone są na jednej poleć dachu w 16 rzędach.Najniższy rząd składa się ze 130 dachówek,a każdym następnym rzędzie leży o 5 dachówek mniej niż w rzędzie poprzednim.Ile dachówek leży w najwyższym rzędzie?Ile dachówek leży na całej poleci dachu?

Nadesłane rozwiązania ( 1 )

Rozwiązanie 1 dodane przez monijatcz , 29.10.2012 20:37
Monijatcz 20121028144130 thumb
załącznik-obliczenia
Liczba dachówek w kolejnych rzędach tworzy ciąg arytmetyczny, o pierwszym wyrazie 130 i różnicy r= -5.
Należy obliczyć szesnasty wyraz ciągu jako najwyższy rząd , zaś sumę szesnastu początkowych wyrazów ciągu arytmetycznego przyjmujemy jako liczbę wszystkich dachówek na dachu.
Musisz się zalogować aby dodać komentarz

Znasz inny sposób na rozwiązanie tego zadania?

Dodaj swoje rozwiązanie

Dodaj swoje rozwiązanie:

Zabronione jest kopiowanie wszelkich treści!
Musisz się zalogować aby dodać rozwiazanie do zadania.
Strona korzysta z plików cookie w celu realizacji usług zgodnie z Polityką Prywatności. Możesz określić warunki przechowywania lub dostępu do cookie w twojej przeglądarce lub konfiguracji usługi.