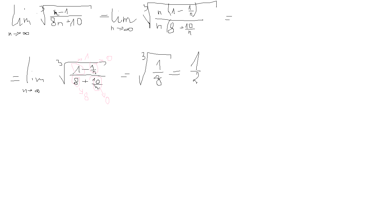
oblicz granice ciągu : $\sqrt3{\frac{n-1}{8n+10}}

Zadanie 4166 (rozwiązane)

Ekspresowy Kurs Maturalny z matematyki

Zdajesz matematykę bo musisz? Przygotuj się do matury nawet w 7 dni! Zapisz się dzisiaj
Zadanie dodane przez anuuila , 02.11.2012 16:14
Anuuila 20120111164032 thumb
oblicz granice ciągu :
$\sqrt3{\frac{n-1}{8n+10}}

Nadesłane rozwiązania ( 1 )

Rozwiązanie 1 dodane przez monijatcz , 02.11.2012 18:53
Monijatcz 20121028144130 thumb
Niestety widać tylko formułę bez wzoru. W załączniku jest rozwiązanie.
W liczniku i mianowniku wyłączamy n przed nawias ( najwyzsza potęga n w mianowniku).
Musisz się zalogować aby dodać komentarz

Znasz inny sposób na rozwiązanie tego zadania?

Dodaj swoje rozwiązanie

Dodaj swoje rozwiązanie:

Zabronione jest kopiowanie wszelkich treści!
Musisz się zalogować aby dodać rozwiazanie do zadania.
Strona korzysta z plików cookie w celu realizacji usług zgodnie z Polityką Prywatności. Możesz określić warunki przechowywania lub dostępu do cookie w twojej przeglądarce lub konfiguracji usługi.