oblicz granice ciągu : $u_{n}=(\frac{3}{2})^{n}*\frac{2^{n+1}-1}{3^{n+1}-1} $

Zadanie 4189 (rozwiązane)

Ekspresowy Kurs Maturalny z matematyki

Zdajesz matematykę bo musisz? Przygotuj się do matury nawet w 7 dni! Zapisz się dzisiaj
Zadanie dodane przez anuuila , 03.11.2012 17:29
Anuuila 20120111164032 thumb
oblicz granice ciągu :
u_{n}=(\frac{3}{2})^{n}*\frac{2^{n+1}-1}{3^{n+1}-1}

Nadesłane rozwiązania ( 2 )

Rozwiązanie 1 dodane przez 131313 , 03.11.2012 20:09
Default avatar
(\frac{3^{n}}{2^{n}})
    • Default avatar
      131313 03.11.2012 20:13

      Z chęcią podałabym rozwiązanie ale nie wiem jak pisać tu równania

Musisz się zalogować aby dodać komentarz
Rozwiązanie 2 dodane przez monijatcz , 03.11.2012 22:23
Monijatcz 20121028144130 thumb
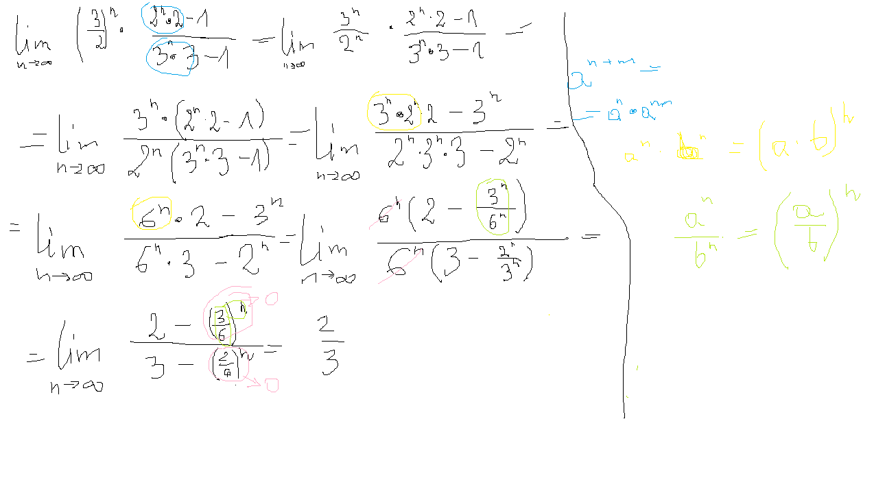
załącznik
Najpierw należało pozbyć się tego mnożenia czyli rozbić potęgi i wymnożyć licznik razy licznik zaś mianownik przez mianownik.
następnie wyłączyć z licznika i mianownika przed nawias wspólną potęge ( bo się skróci).
Musisz się zalogować aby dodać komentarz

Znasz inny sposób na rozwiązanie tego zadania?

Dodaj swoje rozwiązanie

Dodaj swoje rozwiązanie:

Zabronione jest kopiowanie wszelkich treści!
Musisz się zalogować aby dodać rozwiazanie do zadania.
Strona korzysta z plików cookie w celu realizacji usług zgodnie z Polityką Prywatności. Możesz określić warunki przechowywania lub dostępu do cookie w twojej przeglądarce lub konfiguracji usługi.