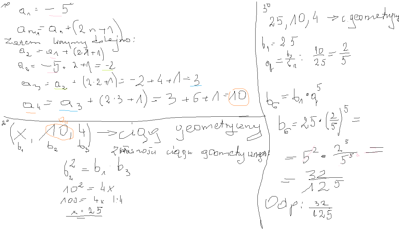
Liczby (x, $a_{4}$,4) są kolejnymi wyrazami ciągu geometrycznego. Wyznacz liczbę x wiedząc, że ciąg ($a_{n}$) jest określony wzorem rekurencyjnym: $a_{1}$=-5 i $a_{n+1}$ = $a_{n}$ +(2n+1). Wyznacz szósty wyraz tego ciągu.

Zadanie 4201 (rozwiązane)

Ekspresowy Kurs Maturalny z matematyki

Zdajesz matematykę bo musisz? Przygotuj się do matury nawet w 7 dni! Zapisz się dzisiaj
Zadanie dodane przez Mar1in , 03.11.2012 18:24
Mar1in 20121031142040 thumb
Liczby (x, a_{4},4) są kolejnymi wyrazami ciągu geometrycznego. Wyznacz liczbę x wiedząc, że ciąg (a_{n}) jest określony wzorem rekurencyjnym: a_{1}=-5 i a_{n+1} = a_{n} +(2n+1). Wyznacz szósty wyraz tego ciągu.

Nadesłane rozwiązania ( 1 )

Rozwiązanie 1 dodane przez monijatcz , 04.11.2012 19:11
Monijatcz 20121028144130 thumb
załącznik- rozwiązanie
Odp. Szósty wyraz ciągu geometrycznego wynosi 32/125.
Musisz się zalogować aby dodać komentarz

Znasz inny sposób na rozwiązanie tego zadania?

Dodaj swoje rozwiązanie

Dodaj swoje rozwiązanie:

Zabronione jest kopiowanie wszelkich treści!
Musisz się zalogować aby dodać rozwiazanie do zadania.
Strona korzysta z plików cookie w celu realizacji usług zgodnie z Polityką Prywatności. Możesz określić warunki przechowywania lub dostępu do cookie w twojej przeglądarce lub konfiguracji usługi.