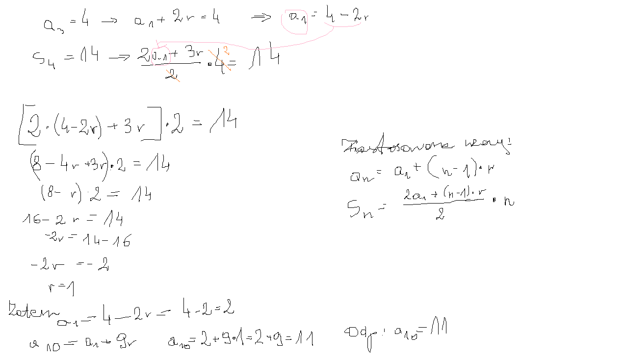
3.Trzeci wyraz ciągu arytmetycznego jest równy 4. Suma czterech pierwszych wyrazów tego ciągu jest równa 14. Oblicz a__10.

Zadanie 4281 (rozwiązane)

Ekspresowy Kurs Maturalny z matematyki

Zdajesz matematykę bo musisz? Przygotuj się do matury nawet w 7 dni! Zapisz się dzisiaj
Zadanie dodane przez mariolka57 , 10.11.2012 15:53
Mariolka57 20111108070205 thumb
3.Trzeci wyraz ciągu arytmetycznego jest równy 4.
Suma czterech pierwszych wyrazów tego ciągu jest równa 14.
Oblicz a__10.

Nadesłane rozwiązania ( 1 )

Rozwiązanie 1 dodane przez monijatcz , 11.11.2012 18:29
Monijatcz 20121028144130 thumb
załącznik
Musisz się zalogować aby dodać komentarz

Znasz inny sposób na rozwiązanie tego zadania?

Dodaj swoje rozwiązanie

Dodaj swoje rozwiązanie:

Zabronione jest kopiowanie wszelkich treści!
Musisz się zalogować aby dodać rozwiazanie do zadania.
Strona korzysta z plików cookie w celu realizacji usług zgodnie z Polityką Prywatności. Możesz określić warunki przechowywania lub dostępu do cookie w twojej przeglądarce lub konfiguracji usługi.