w prostopadłościanie długosci krawedzi podstawy a=3cm,b=4cm a przekatna d bryły jest nachylona do płaszczyzny podstawy pod katem 30 stopni.oblicz pole powierzchni bocznej tego prostopadłoscianu

Zadanie 2777 (rozwiązane)

Ekspresowy Kurs Maturalny z matematyki

Zdajesz matematykę bo musisz? Przygotuj się do matury nawet w 7 dni! Zapisz się dzisiaj
Zadanie dodane przez iwona30 , 29.03.2012 13:39
Iwona30 20120329132308 thumb
w prostopadłościanie długosci krawedzi podstawy a=3cm,b=4cm a przekatna d bryły jest nachylona do płaszczyzny podstawy pod katem 30 stopni.oblicz pole powierzchni bocznej tego prostopadłoscianu

Nadesłane rozwiązania ( 2 )

Rozwiązanie 1 dodane przez monika2433 , 04.04.2012 17:37
Monika2433 20120305174832 thumb
mi wyszło coś w tym stylu ;P
Musisz się zalogować aby dodać komentarz
Rozwiązanie 2 dodane przez ALFA , 04.04.2012 18:01
Default avatar
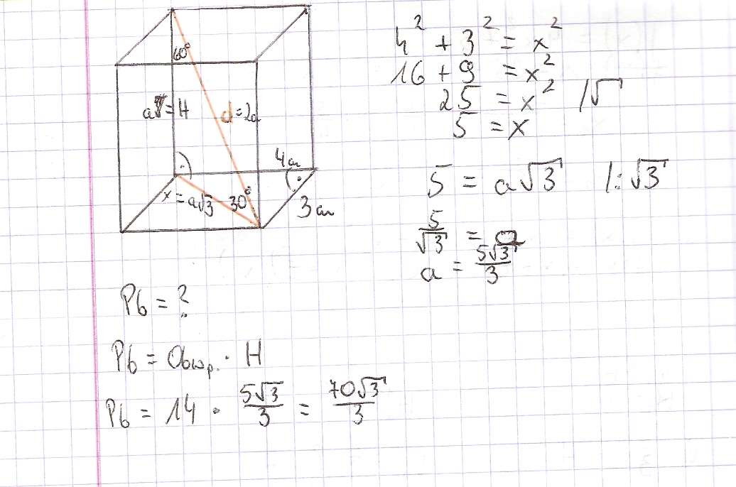
Pb=2*a*H + 2*b*H H=? wyliczymy H z funkcji tryg.w trójkącie prostokątnym H/c=tg30 ale
najpierw musimy wyliczyć przekątną podst. C do kw.=a do kw.+b do kw.to Cdo kw.=9+16=25

pierw.z 25 to 5 a więc c=5 liczymy dalej H/c=tg 30 st. tg 30 st.=pierw.z 3/3 H=5*pierw.z3 / 3

Pb=2*3*5 + 2*4*5 =70cm[2]
Musisz się zalogować aby dodać komentarz

Znasz inny sposób na rozwiązanie tego zadania?

Dodaj swoje rozwiązanie

Dodaj swoje rozwiązanie:

Zabronione jest kopiowanie wszelkich treści!
Musisz się zalogować aby dodać rozwiazanie do zadania.
Strona korzysta z plików cookie w celu realizacji usług zgodnie z Polityką Prywatności. Możesz określić warunki przechowywania lub dostępu do cookie w twojej przeglądarce lub konfiguracji usługi.