Kąt ostry równoległoboku ma miarę $60^{\circ}$, przekątne tego równoległoboku mają długości 3,5 cm i 0,5$\sqrt{19}$ cm. Wyznacz długości boków równoległoboku.

Zadanie 3335 (rozwiązane)

Ekspresowy Kurs Maturalny z matematyki

Zdajesz matematykę bo musisz? Przygotuj się do matury nawet w 7 dni! Zapisz się dzisiaj
Zadanie dodane przez anitusia1994 , 04.05.2012 17:35
Anitusia1994 20111115163127 thumb
Kąt ostry równoległoboku ma miarę 60^{\circ}, przekątne tego równoległoboku mają długości 3,5 cm i 0,5\sqrt{19} cm. Wyznacz długości boków równoległoboku.

Nadesłane rozwiązania ( 1 )

Rozwiązanie 1 dodane przez d_mek , 05.05.2012 11:27
D mek 20120307223004 thumb
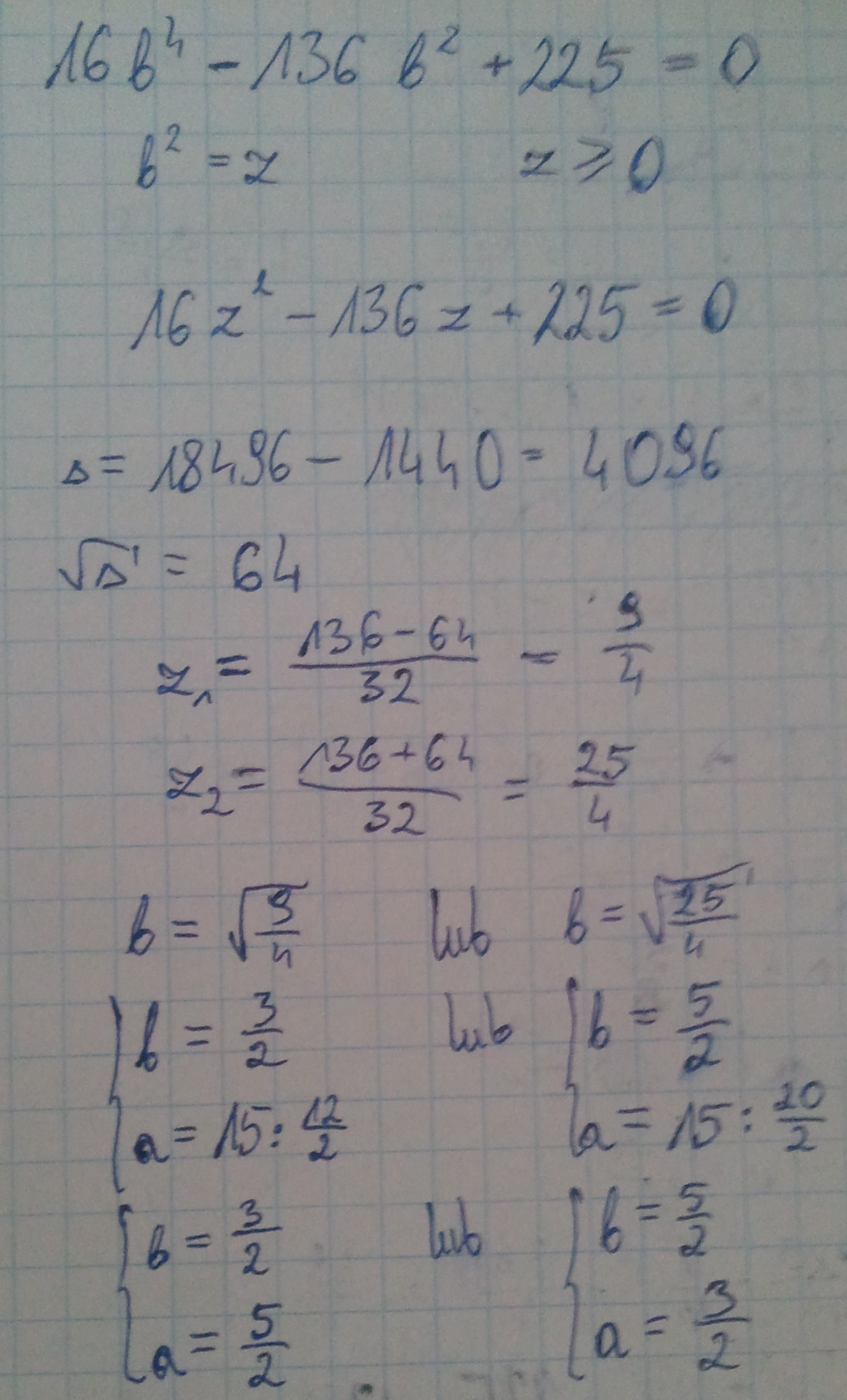
Rozwiązanie w załączniku.

Odp: Boki te mają długość 1,5cm i 2,5cm.

Pomogłem? daj najlepsze rozwiązanie ;]
Musisz się zalogować aby dodać komentarz

Znasz inny sposób na rozwiązanie tego zadania?

Dodaj swoje rozwiązanie

Dodaj swoje rozwiązanie:

Zabronione jest kopiowanie wszelkich treści!
Musisz się zalogować aby dodać rozwiazanie do zadania.
Strona korzysta z plików cookie w celu realizacji usług zgodnie z Polityką Prywatności. Możesz określić warunki przechowywania lub dostępu do cookie w twojej przeglądarce lub konfiguracji usługi.