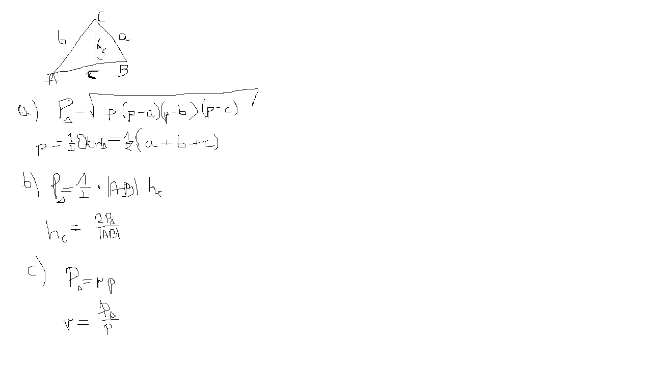
Długośc boków trójkąta ABC wynoszą : AB=6CM, BC=25CM, AC=9CM. a) oblicz pole trójkąta; b) oblicz długośc wysokości opuszczonej z wierzchołka C; c) oblicz długośc promienia okręgu wpisanego w ten trójkąt.

Zadanie 4104 (rozwiązane)

Ekspresowy Kurs Maturalny z matematyki

Zdajesz matematykę bo musisz? Przygotuj się do matury nawet w 7 dni! Zapisz się dzisiaj
Zadanie dodane przez Mtomalska , 28.10.2012 14:14
Mtomalska 20120515155240 thumb
Długośc boków trójkąta ABC wynoszą : AB=6CM, BC=25CM, AC=9CM.
a) oblicz pole trójkąta;
b) oblicz długośc wysokości opuszczonej z wierzchołka C;
c) oblicz długośc promienia okręgu wpisanego w ten trójkąt.

Nadesłane rozwiązania ( 1 )

Rozwiązanie 1 dodane przez monijatcz , 28.10.2012 22:02
Monijatcz 20121028144130 thumb
Podane błędne dane. Nie można zbudować trójkąta z tych odcinków.
Suma dwóch krótszych boków musi być dłuższa od najdłuższego. a 6+9 = 15 i 15 jest mniejsze od 25.
W załączniku podałam jakie wzory należy zastosować. Nie mogę obliczyć dla tych danych bo wychodzą ujemne wyniki.
Musisz się zalogować aby dodać komentarz

Znasz inny sposób na rozwiązanie tego zadania?

Dodaj swoje rozwiązanie

Dodaj swoje rozwiązanie:

Zabronione jest kopiowanie wszelkich treści!
Musisz się zalogować aby dodać rozwiazanie do zadania.
Strona korzysta z plików cookie w celu realizacji usług zgodnie z Polityką Prywatności. Możesz określić warunki przechowywania lub dostępu do cookie w twojej przeglądarce lub konfiguracji usługi.