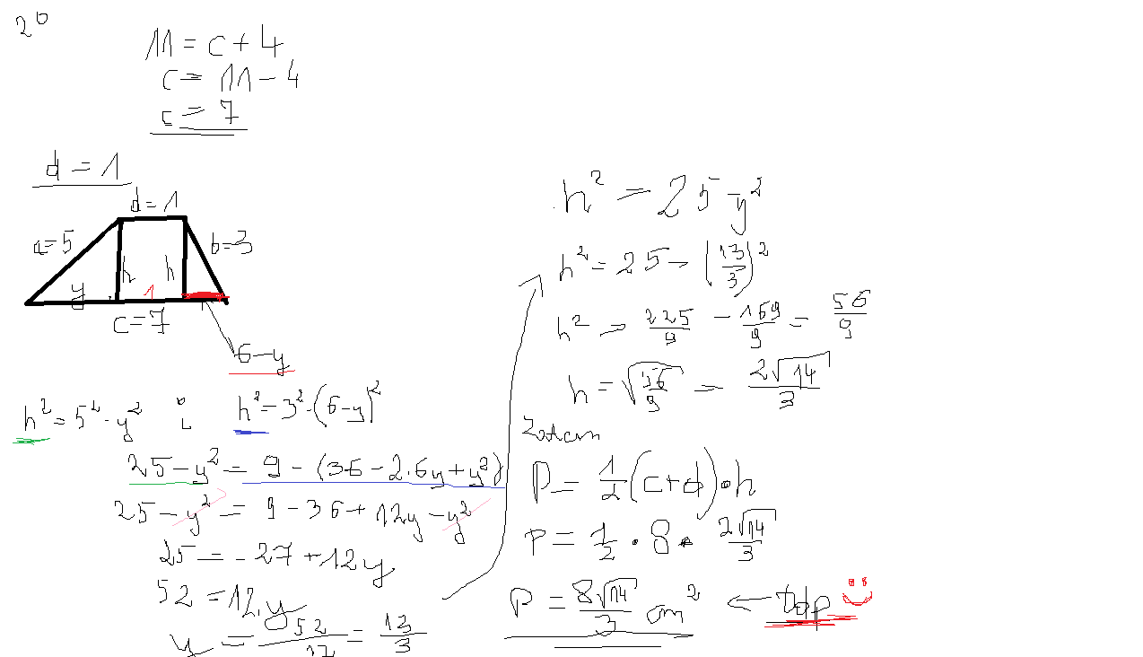
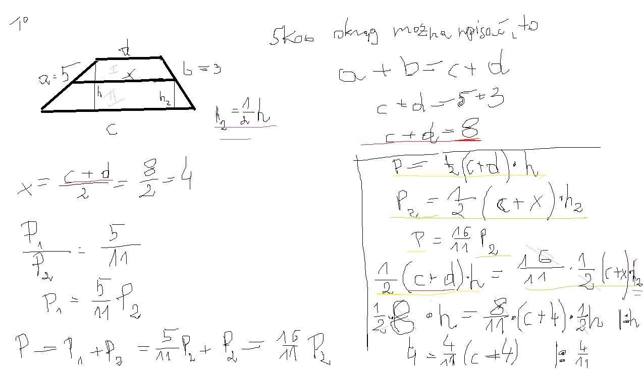
długość ramion a i b trapezu są równe odpowiednio 5 cm i 3 cm. Odcinek łączący środki tych ramion dzieli trapez na dwie równe części w ten sposób, że stosunek ich pól jest równy 5:11. oblicz pole trapezu wiedząc, że można wpisać w niego okrąg. Bardzo potrzebuję tego rozwiązania......

Zadanie 4149 (rozwiązane)

Ekspresowy Kurs Maturalny z matematyki

Zdajesz matematykę bo musisz? Przygotuj się do matury nawet w 7 dni! Zapisz się dzisiaj
Zadanie dodane przez Nutka , 30.10.2012 21:50
Default avatar
długość ramion a i b trapezu są równe odpowiednio 5 cm i 3 cm. Odcinek łączący środki tych ramion dzieli trapez na dwie równe części w ten sposób, że stosunek ich pól jest równy 5:11. oblicz pole trapezu wiedząc, że można wpisać w niego okrąg. Bardzo potrzebuję tego rozwiązania......

Nadesłane rozwiązania ( 1 )

Rozwiązanie 1 dodane przez monijatcz , 02.11.2012 16:02
Monijatcz 20121028144130 thumb
Troche się naczekałaś ale proszę oto rozwiązanie w załącznikach. Powielam ( zadanie sama powieliłas) .
Komentarz do zadania umieściłam wcześniej.
Musisz się zalogować aby dodać komentarz

Znasz inny sposób na rozwiązanie tego zadania?

Dodaj swoje rozwiązanie

Dodaj swoje rozwiązanie:

Zabronione jest kopiowanie wszelkich treści!
Musisz się zalogować aby dodać rozwiazanie do zadania.
Strona korzysta z plików cookie w celu realizacji usług zgodnie z Polityką Prywatności. Możesz określić warunki przechowywania lub dostępu do cookie w twojej przeglądarce lub konfiguracji usługi.