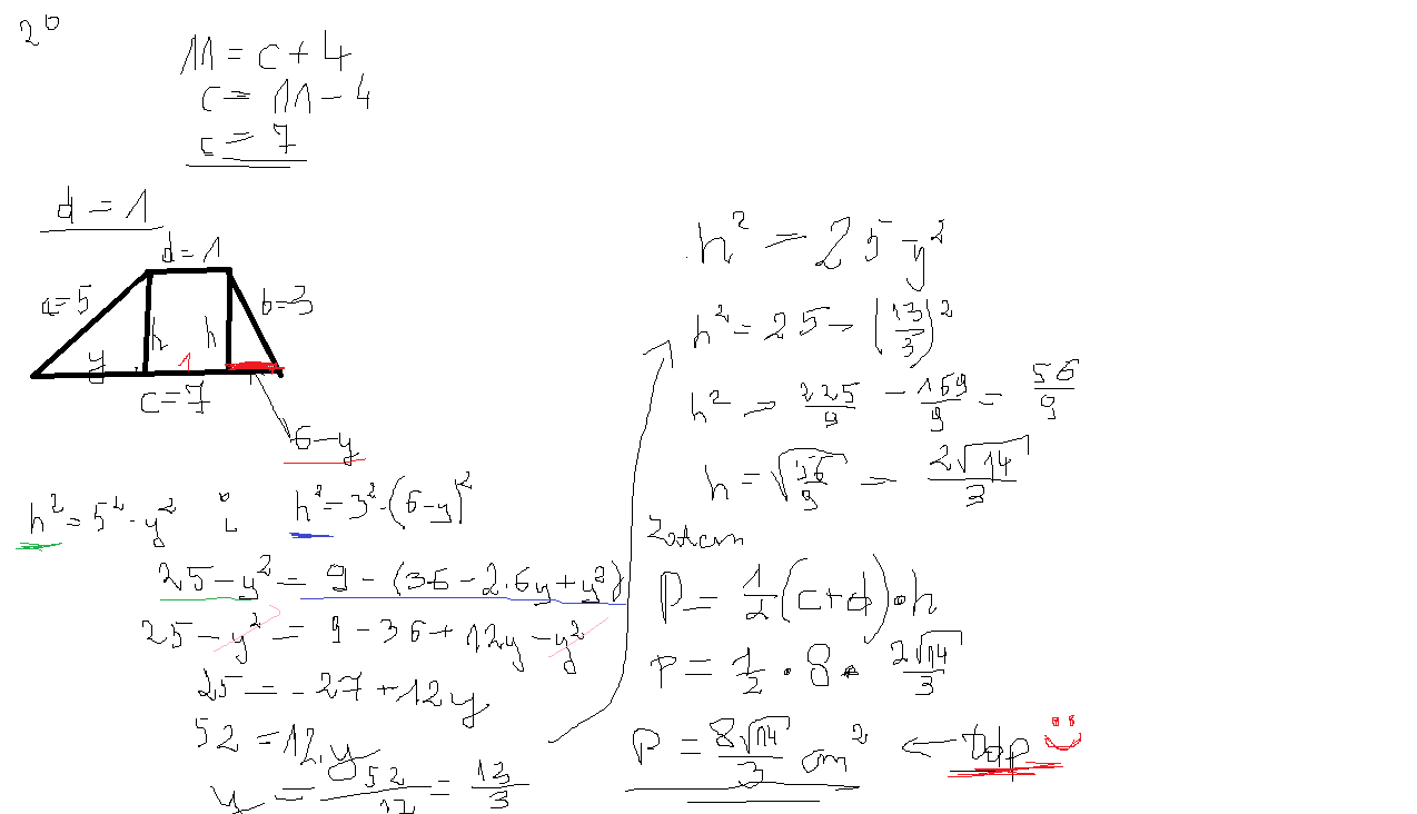
długość ramion a i b trapezu są równe odpowiednio 5 cm i 3 cm. Odcinek łączący środki tych ramion dzieli trapez na dwie równe części w ten sposób, że stosunek ich pól jest równy 5:11. oblicz pole trapezu wiedząc, że można wpisać w niego okrąg

Zadanie 4158 (rozwiązane)

Ekspresowy Kurs Maturalny z matematyki

Zdajesz matematykę bo musisz? Przygotuj się do matury nawet w 7 dni! Zapisz się dzisiaj
Zadanie dodane przez Nutka , 02.11.2012 09:58
Default avatar
długość ramion a i b trapezu są równe odpowiednio 5 cm i 3 cm. Odcinek łączący środki tych ramion dzieli trapez na dwie równe części w ten sposób, że stosunek ich pól jest równy 5:11. oblicz pole trapezu wiedząc, że można wpisać w niego okrąg

Nadesłane rozwiązania ( 1 )

Rozwiązanie 1 dodane przez monijatcz , 02.11.2012 15:48
Monijatcz 20121028144130 thumb
załączniki
W pierwszej cześci należy wykorzystać własnośc okręgu wpisanego w czworokąt , wzór na odcinek łączący środki ramion oraz własność tego odcinka, że równiez dzieli on wysokość trapezu na pół .

Niestety pisze za pomocą myszki w paint , zatem te rachunki troszke koślawe.( starałam się by były czytelne)
Musisz się zalogować aby dodać komentarz

Znasz inny sposób na rozwiązanie tego zadania?

Dodaj swoje rozwiązanie

Dodaj swoje rozwiązanie:

Zabronione jest kopiowanie wszelkich treści!
Musisz się zalogować aby dodać rozwiazanie do zadania.
Strona korzysta z plików cookie w celu realizacji usług zgodnie z Polityką Prywatności. Możesz określić warunki przechowywania lub dostępu do cookie w twojej przeglądarce lub konfiguracji usługi.