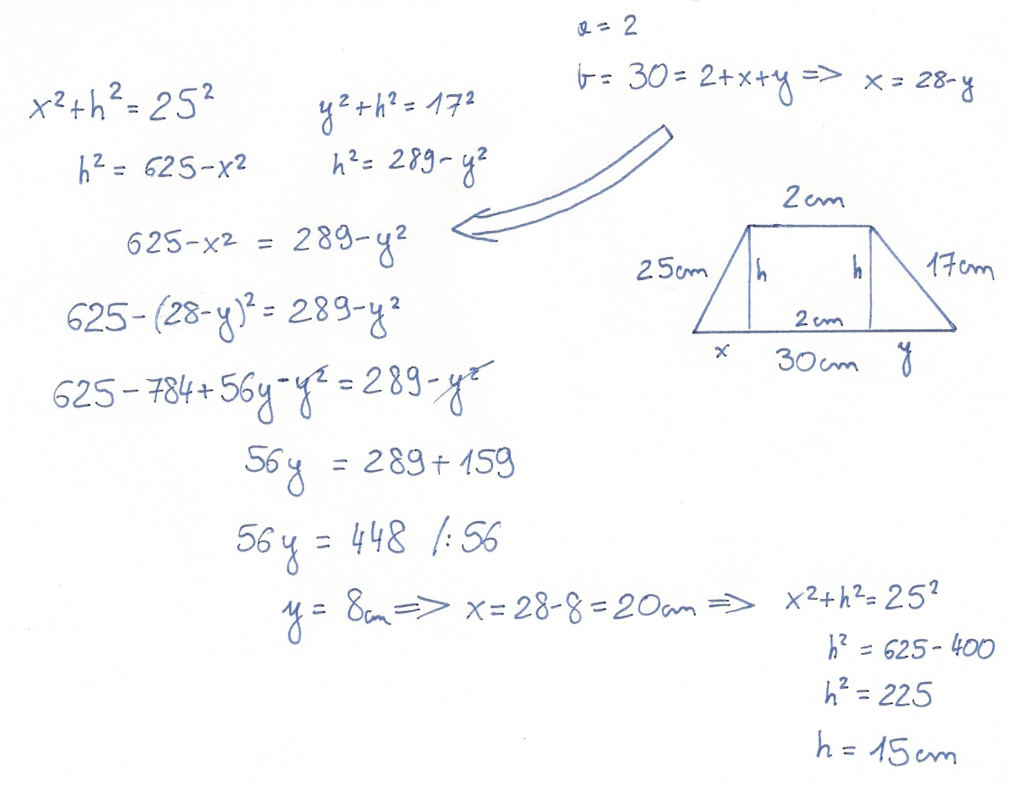
wyznacz wysokość trapezu, którego podstawy mają długość 2cm i 30cm a ramiona 25cm i 17cm.

Zadanie 4200 (rozwiązane)

Ekspresowy Kurs Maturalny z matematyki

Zdajesz matematykę bo musisz? Przygotuj się do matury nawet w 7 dni! Zapisz się dzisiaj
Zadanie dodane przez Nutka , 03.11.2012 17:59
Default avatar
wyznacz wysokość trapezu, którego podstawy mają długość 2cm i 30cm a ramiona 25cm i 17cm.

Nadesłane rozwiązania ( 1 )

Rozwiązanie 1 dodane przez BassetGuru , 03.11.2012 18:44
Bassetguru 20120927172756 thumb
Rozwiązanie dołączam w załączniku,
pozdrawiam!
Musisz się zalogować aby dodać komentarz

Znasz inny sposób na rozwiązanie tego zadania?

Dodaj swoje rozwiązanie

Dodaj swoje rozwiązanie:

Zabronione jest kopiowanie wszelkich treści!
Musisz się zalogować aby dodać rozwiazanie do zadania.
Strona korzysta z plików cookie w celu realizacji usług zgodnie z Polityką Prywatności. Możesz określić warunki przechowywania lub dostępu do cookie w twojej przeglądarce lub konfiguracji usługi.