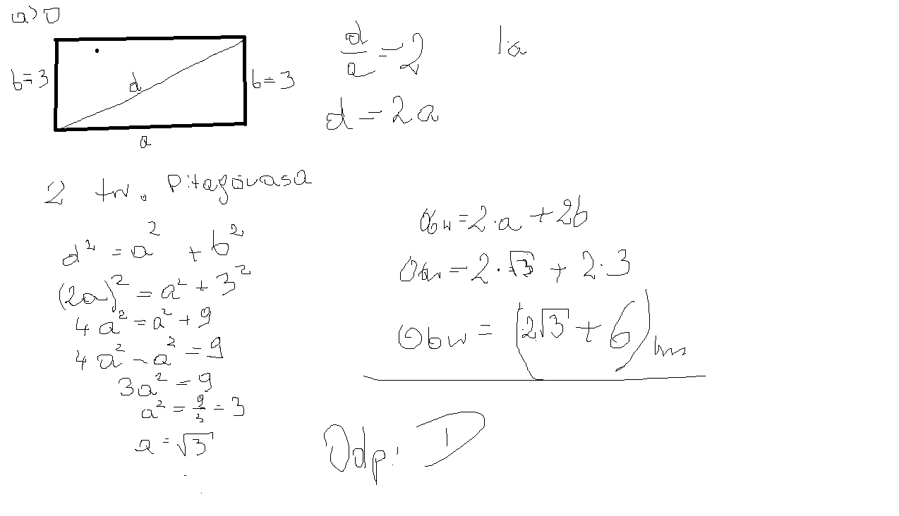
BARDZO PROSZĘ , o podanie odpowiedzi i pokazać jak się to rozwiązuję. Będe bardzo wdzięczna z góry dziękuję. 3. W prostokącie jeden z boków ma długość 3cm ,a stosunek długości przekątnej do długości drugiego boku jest równy 2. Obwód tego prostokąta wynosi: A. 3 $\sqrt{3}$ cm B. $\sqrt{3}$ + 3cm C. 2 $\sqrt{3}$ +3cm D. 2 $\sqrt{3}$ + 6cm

Zadanie 4207 (rozwiązane)

Ekspresowy Kurs Maturalny z matematyki

Zdajesz matematykę bo musisz? Przygotuj się do matury nawet w 7 dni! Zapisz się dzisiaj
Zadanie dodane przez zxcv94 , 04.11.2012 11:45
Zxcv94 20121104083811 thumb
BARDZO PROSZĘ , o podanie odpowiedzi i pokazać jak się to rozwiązuję. Będe bardzo wdzięczna z góry dziękuję.

3. W prostokącie jeden z boków ma długość 3cm ,a stosunek długości przekątnej do długości drugiego boku jest równy 2. Obwód tego prostokąta wynosi:
A. 3 \sqrt{3} cm
B. \sqrt{3} + 3cm
C. 2 \sqrt{3} +3cm
D. 2 \sqrt{3} + 6cm

Nadesłane rozwiązania ( 1 )

Rozwiązanie 1 dodane przez monijatcz , 04.11.2012 18:19
Monijatcz 20121028144130 thumb
Odp . D
rozwiązanie z rysunkiem w załączniku
Musisz się zalogować aby dodać komentarz

Znasz inny sposób na rozwiązanie tego zadania?

Dodaj swoje rozwiązanie

Dodaj swoje rozwiązanie:

Zabronione jest kopiowanie wszelkich treści!
Musisz się zalogować aby dodać rozwiazanie do zadania.
Strona korzysta z plików cookie w celu realizacji usług zgodnie z Polityką Prywatności. Możesz określić warunki przechowywania lub dostępu do cookie w twojej przeglądarce lub konfiguracji usługi.