BARDZO PROSZĘ , o podanie odpowiedzi i pokazać jak się to rozwiązuję. Będe bardzo wdzięczna z góry dziękuję. Z każdego wierchołka kwadratu o boku długości b zakreślono koło o promieniu $\frac{1}{2}$ b. Pole otrzymanej figury ( tej na rysunku ) wynosi: A. $b^{2}$ - pi do kwadratu B.$\frac{1}{4}$ $b^{2}$ (4 - pi ) C. 4 $b^{2}$ - pi D. $b^{2}$ ( pi - 1)

Zadanie 4221 (rozwiązane)

Ekspresowy Kurs Maturalny z matematyki

Zdajesz matematykę bo musisz? Przygotuj się do matury nawet w 7 dni! Zapisz się dzisiaj
Zadanie dodane przez zxcv94 , 04.11.2012 19:25
Zxcv94 20121104083811 thumb
BARDZO PROSZĘ , o podanie odpowiedzi i pokazać jak się to rozwiązuję. Będe bardzo wdzięczna z góry dziękuję.

Z każdego wierchołka kwadratu o boku długości b zakreślono koło o promieniu \frac{1}{2} b. Pole otrzymanej figury ( tej na rysunku ) wynosi:

A. b^{2} - pi do kwadratu

B.\frac{1}{4} b^{2} (4 - pi )


C. 4 b^{2} - pi

D. b^{2} ( pi - 1)

Nadesłane rozwiązania ( 1 )

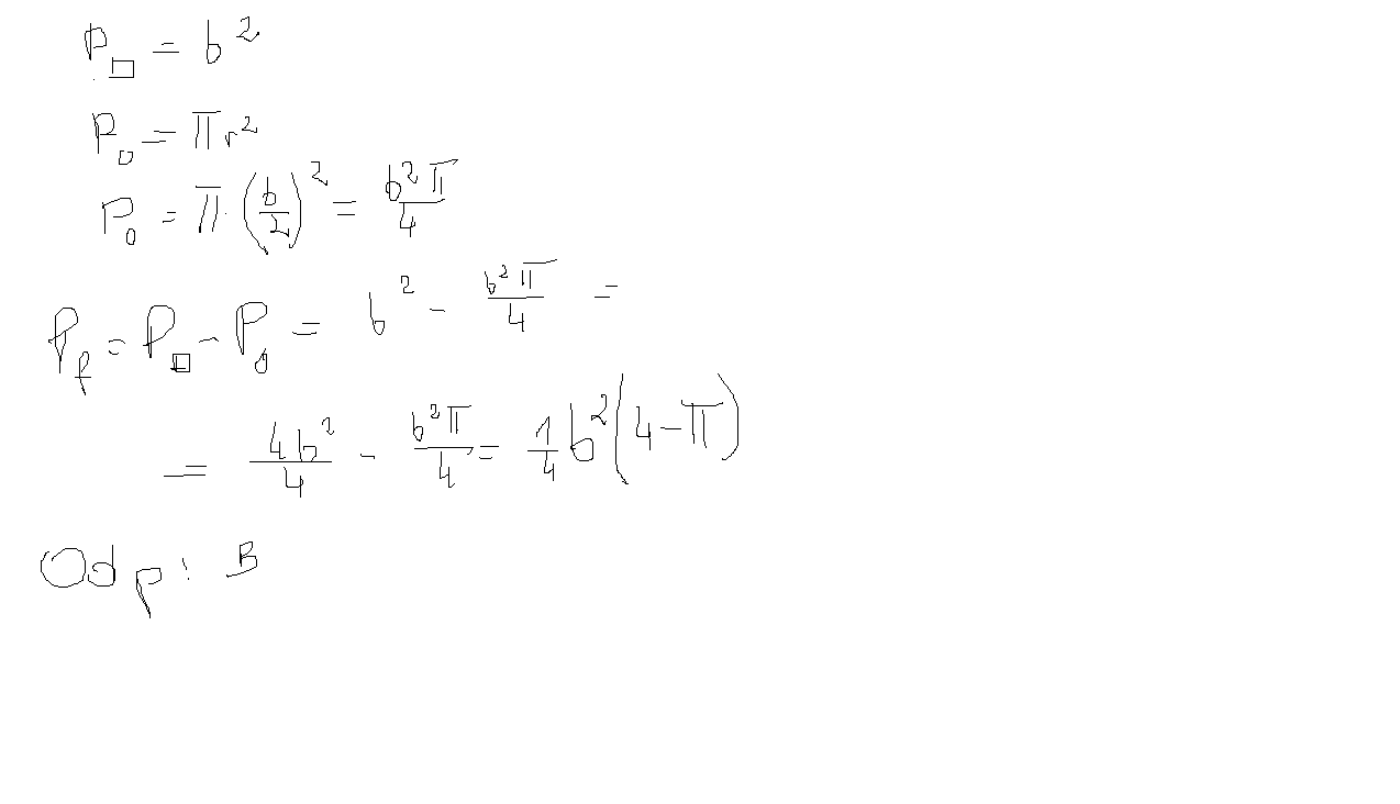
Rozwiązanie 1 dodane przez monijatcz , 04.11.2012 19:40
Monijatcz 20121028144130 thumb
Odp. B
Pole czterech wycinków koła ( o kątach 90) tworzą całe koło. Zatem od pola kwadratu należy odjąć pole koła o promieniu b/2.
Musisz się zalogować aby dodać komentarz

Znasz inny sposób na rozwiązanie tego zadania?

Dodaj swoje rozwiązanie

Dodaj swoje rozwiązanie:

Zabronione jest kopiowanie wszelkich treści!
Musisz się zalogować aby dodać rozwiazanie do zadania.
Strona korzysta z plików cookie w celu realizacji usług zgodnie z Polityką Prywatności. Możesz określić warunki przechowywania lub dostępu do cookie w twojej przeglądarce lub konfiguracji usługi.