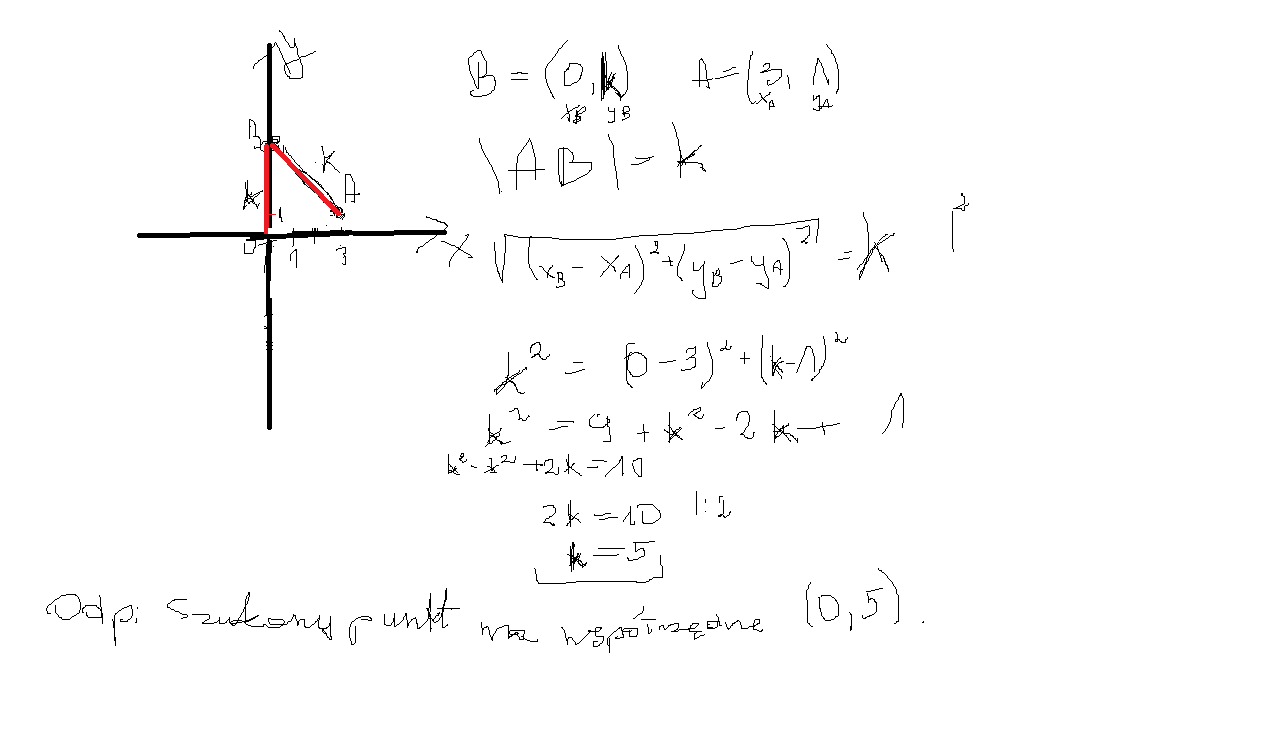
Na osi rzędnych znaleźć punkt równo oddalony od początku układu współrzędnych i od punktu A(3;1).

Zadanie 4320 (rozwiązane)

Ekspresowy Kurs Maturalny z matematyki

Zdajesz matematykę bo musisz? Przygotuj się do matury nawet w 7 dni! Zapisz się dzisiaj
Zadanie dodane przez shaiya17 , 12.11.2012 08:00
Shaiya17 20120923114704 thumb
Na osi rzędnych znaleźć punkt równo oddalony od początku układu współrzędnych i od punktu A(3;1).

Nadesłane rozwiązania ( 1 )

Rozwiązanie 1 dodane przez monijatcz , 12.11.2012 12:45
Monijatcz 20121028144130 thumb
załącznik
Oś rzędnych to oś OY
Musisz się zalogować aby dodać komentarz

Znasz inny sposób na rozwiązanie tego zadania?

Dodaj swoje rozwiązanie

Dodaj swoje rozwiązanie:

Zabronione jest kopiowanie wszelkich treści!
Musisz się zalogować aby dodać rozwiazanie do zadania.
Strona korzysta z plików cookie w celu realizacji usług zgodnie z Polityką Prywatności. Możesz określić warunki przechowywania lub dostępu do cookie w twojej przeglądarce lub konfiguracji usługi.