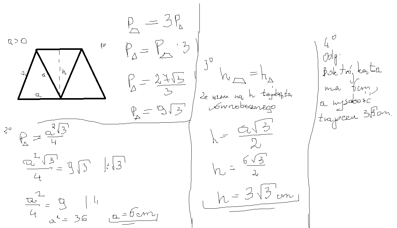
Z trzech trojkatow rownobocznych ulozono trapez.Pole tego trapezu wynosi 27√3cm².oblicz bok trojkata oraz wysokość trapezu

Zadanie 4584 (rozwiązane)

Ekspresowy Kurs Maturalny z matematyki

Zdajesz matematykę bo musisz? Przygotuj się do matury nawet w 7 dni! Zapisz się dzisiaj
Zadanie dodane przez konto-usuniete , 22.11.2012 09:24
Default avatar
Z trzech trojkatow rownobocznych ulozono trapez.Pole tego trapezu wynosi 27√3cm².oblicz bok trojkata oraz wysokość trapezu

Nadesłane rozwiązania ( 1 )

Rozwiązanie 1 dodane przez monijatcz , 23.11.2012 13:44
Monijatcz 20121028144130 thumb
załącznik
Musisz się zalogować aby dodać komentarz

Znasz inny sposób na rozwiązanie tego zadania?

Dodaj swoje rozwiązanie

Dodaj swoje rozwiązanie:

Zabronione jest kopiowanie wszelkich treści!
Musisz się zalogować aby dodać rozwiazanie do zadania.
Strona korzysta z plików cookie w celu realizacji usług zgodnie z Polityką Prywatności. Możesz określić warunki przechowywania lub dostępu do cookie w twojej przeglądarce lub konfiguracji usługi.