Dla jakich wartości p okrąg (x-1)² + (y+3)²=p y=2x-2 . Napisz co się z czego wzięło.

Zadanie 4931 (rozwiązane)

Ekspresowy Kurs Maturalny z matematyki

Zdajesz matematykę bo musisz? Przygotuj się do matury nawet w 7 dni! Zapisz się dzisiaj
Zadanie dodane przez konto-usuniete , 09.12.2012 16:43
Default avatar
Dla jakich wartości p okrąg (x-1)² + (y+3)²=p y=2x-2 . Napisz co się z czego wzięło.

Nadesłane rozwiązania ( 1 )

Rozwiązanie 1 dodane przez monijatcz , 10.12.2012 20:07
Monijatcz 20121028144130 thumb
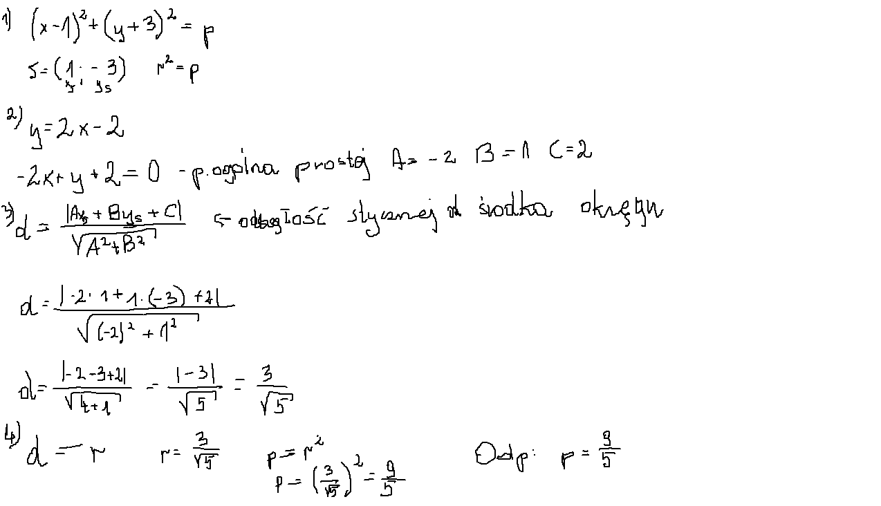
Przyjęłam, że chodzi o podanie parametru p , dla którego prosta jest styczną do okręgu.
Załącznik.
1. Z równania okręgu wyznaczamy środek okręgu
2. przekształcamy równanie prostej do postaci ogólej
3. obliczamy odległość stycznej od środka okręgu
4. odległość jest równa promieniowi bo dana była styczna do okręgu
Musisz się zalogować aby dodać komentarz

Znasz inny sposób na rozwiązanie tego zadania?

Dodaj swoje rozwiązanie

Dodaj swoje rozwiązanie:

Zabronione jest kopiowanie wszelkich treści!
Musisz się zalogować aby dodać rozwiazanie do zadania.
Strona korzysta z plików cookie w celu realizacji usług zgodnie z Polityką Prywatności. Możesz określić warunki przechowywania lub dostępu do cookie w twojej przeglądarce lub konfiguracji usługi.