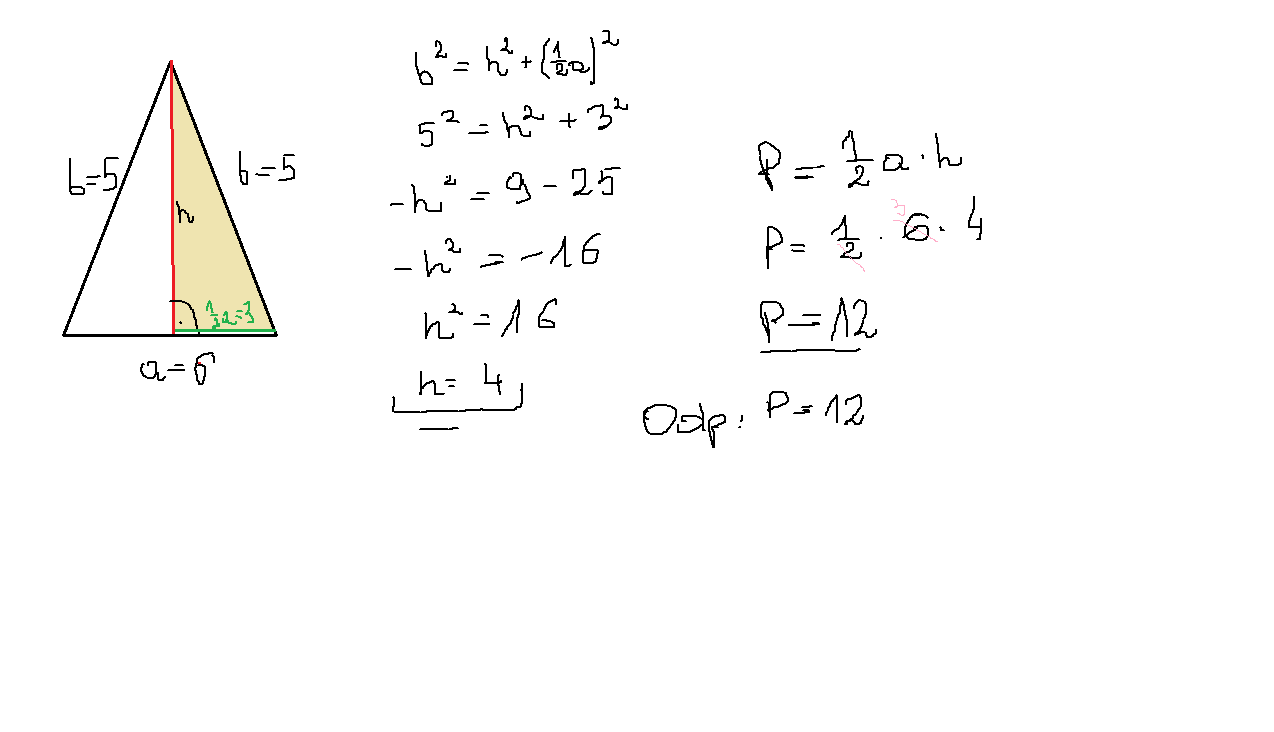
podstawa trójkąta równobocznego ma długość 6, a ramię 5. Oblicz pole tego trójkąta

Zadanie 5137 (rozwiązane)

Ekspresowy Kurs Maturalny z matematyki

Zdajesz matematykę bo musisz? Przygotuj się do matury nawet w 7 dni! Zapisz się dzisiaj
Zadanie dodane przez angelika1245 , 18.12.2012 21:47
Default avatar
podstawa trójkąta równobocznego ma długość 6, a ramię 5. Oblicz pole tego trójkąta

Nadesłane rozwiązania ( 1 )

Rozwiązanie 1 dodane przez monijatcz , 18.12.2012 22:22
Monijatcz 20121028144130 thumb
na pewno chodzi jednak o trójkąt równoramienny.
załącznik

Musisz się zalogować aby dodać komentarz

Znasz inny sposób na rozwiązanie tego zadania?

Dodaj swoje rozwiązanie

Dodaj swoje rozwiązanie:

Zabronione jest kopiowanie wszelkich treści!
Musisz się zalogować aby dodać rozwiazanie do zadania.
Strona korzysta z plików cookie w celu realizacji usług zgodnie z Polityką Prywatności. Możesz określić warunki przechowywania lub dostępu do cookie w twojej przeglądarce lub konfiguracji usługi.