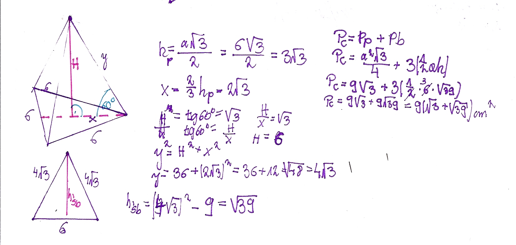
zad 5 str 349 oblicz pole powieszni ostrosłupa trójkątnego prawidłowego którego krawędź podstawy ma długość 6 cm a krawędź boczna jest nachylona do płaszczyzny podstawy pod kątem 60 stopni.

Zadanie 6093 (rozwiązane)

Ekspresowy Kurs Maturalny z matematyki

Zdajesz matematykę bo musisz? Przygotuj się do matury nawet w 7 dni! Zapisz się dzisiaj
Zadanie dodane przez niunia92539253 , 21.03.2013 09:39
Default avatar
zad 5 str 349
oblicz pole powieszni ostrosłupa trójkątnego prawidłowego którego krawędź podstawy ma długość 6 cm a krawędź boczna jest nachylona do płaszczyzny podstawy pod kątem 60 stopni.

Nadesłane rozwiązania ( 1 )

Rozwiązanie 1 dodane przez malwin19937 , 14.04.2013 15:04
Malwin19937 20130322190518 thumb
Rozw.
Musisz się zalogować aby dodać komentarz

Znasz inny sposób na rozwiązanie tego zadania?

Dodaj swoje rozwiązanie

Dodaj swoje rozwiązanie:

Zabronione jest kopiowanie wszelkich treści!
Musisz się zalogować aby dodać rozwiazanie do zadania.
Strona korzysta z plików cookie w celu realizacji usług zgodnie z Polityką Prywatności. Możesz określić warunki przechowywania lub dostępu do cookie w twojej przeglądarce lub konfiguracji usługi.