Bardzo proszę o pomoc.Zadanie podaje w załączniku.Pozdrawiam i z góry dziękuje za rozwiązanie .

Zadanie 6320 (rozwiązane)

Ekspresowy Kurs Maturalny z matematyki

Zdajesz matematykę bo musisz? Przygotuj się do matury nawet w 7 dni! Zapisz się dzisiaj
Zadanie dodane przez Bedboy89 , 11.04.2013 10:11
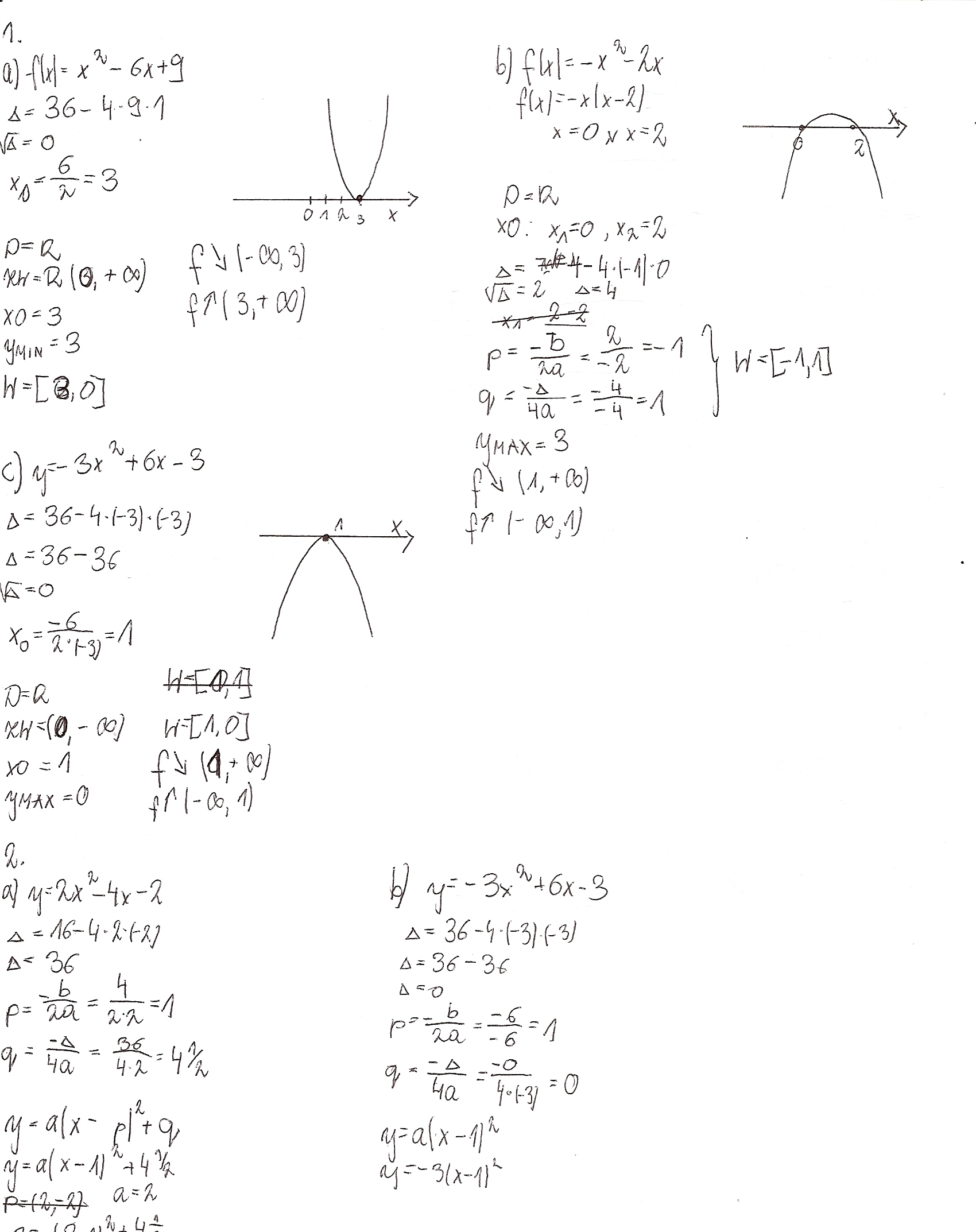
Bedboy89 20130411095848 thumb
Bardzo proszę o pomoc.Zadanie podaje w załączniku.Pozdrawiam i z góry dziękuje za rozwiązanie .

Nadesłane rozwiązania ( 1 )

Rozwiązanie 1 dodane przez malwin19937 , 14.04.2013 10:17
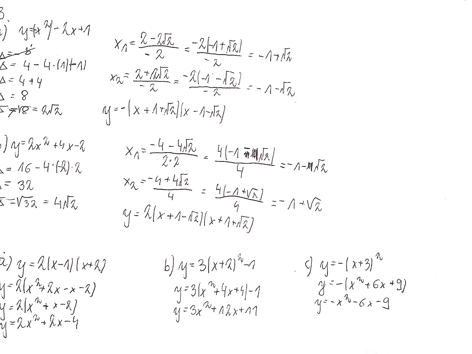
Malwin19937 20130322190518 thumb
Myślę, że rozwiązania są prawidłowe
Musisz się zalogować aby dodać komentarz

Znasz inny sposób na rozwiązanie tego zadania?

Dodaj swoje rozwiązanie

Dodaj swoje rozwiązanie:

Zabronione jest kopiowanie wszelkich treści!
Musisz się zalogować aby dodać rozwiazanie do zadania.
Strona korzysta z plików cookie w celu realizacji usług zgodnie z Polityką Prywatności. Możesz określić warunki przechowywania lub dostępu do cookie w twojej przeglądarce lub konfiguracji usługi.