niech mi ktoś pomoże :(

Zadanie 6510 (rozwiązane)

Ekspresowy Kurs Maturalny z matematyki

Zdajesz matematykę bo musisz? Przygotuj się do matury nawet w 7 dni! Zapisz się dzisiaj
Zadanie dodane przez trusia , 17.06.2013 15:06
Default avatar
niech mi ktoś pomoże :(

Nadesłane rozwiązania ( 1 )

Rozwiązanie 1 dodane przez Abaddon24 , 17.06.2013 21:04
Abaddon24 20111123224018 thumb
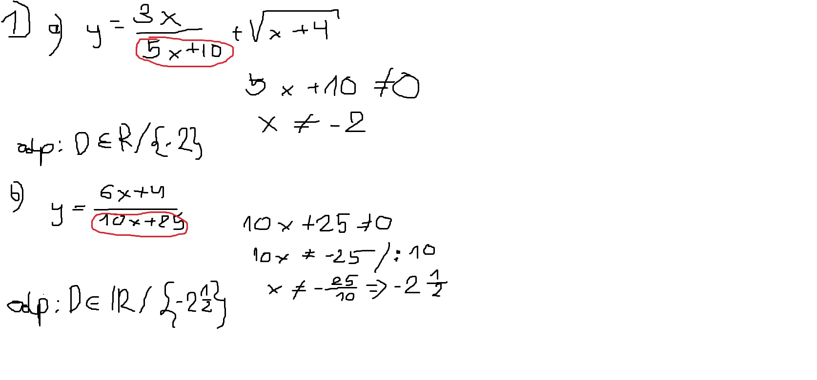
Rozwiązania masz w załączniku
    • Abaddon24 20111123224018 thumb
      Abaddon24 17.06.2013 21:35

      w pierwszym zadaniu
      jak masz napisaną odpowiedz
      dopisz sobie "x" w obu odpowiedziach tak jak to napisze pod spodem

      Odp. D x E R /{-2}

      E -> oznacza ze "Nalezy doo zbioru"..

      w drugim tak samo popraw dopisując sobie tylko tego "X"

    • Default avatar
      trusia 18.06.2013 16:45

      dziękuję bardzo ! :)

Musisz się zalogować aby dodać komentarz

Znasz inny sposób na rozwiązanie tego zadania?

Dodaj swoje rozwiązanie

Dodaj swoje rozwiązanie:

Zabronione jest kopiowanie wszelkich treści!
Musisz się zalogować aby dodać rozwiazanie do zadania.
Strona korzysta z plików cookie w celu realizacji usług zgodnie z Polityką Prywatności. Możesz określić warunki przechowywania lub dostępu do cookie w twojej przeglądarce lub konfiguracji usługi.