Dany jest prostokąt o obwodzie L oraz szerokości b .Naszkicuj wykres funkcji P(b) pola prostokąta od jego szerokości . Dla jakiej wartości b pole to jest największe?

Zadanie 6564 (rozwiązane)

Ekspresowy Kurs Maturalny z matematyki

Zdajesz matematykę bo musisz? Przygotuj się do matury nawet w 7 dni! Zapisz się dzisiaj
Zadanie dodane przez batmo , 20.06.2013 09:55
Batmo 20130620095224 thumb
Dany jest prostokąt o obwodzie L oraz szerokości b .Naszkicuj wykres funkcji P(b) pola prostokąta od jego szerokości . Dla jakiej wartości b pole to jest największe?

Nadesłane rozwiązania ( 1 )

Rozwiązanie 1 dodane przez studbud , 20.06.2013 18:43
Default avatar
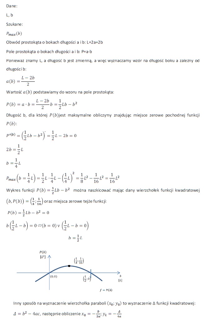
Rozwiązanie w załączniku
Musisz się zalogować aby dodać komentarz

Znasz inny sposób na rozwiązanie tego zadania?

Dodaj swoje rozwiązanie

Dodaj swoje rozwiązanie:

Zabronione jest kopiowanie wszelkich treści!
Musisz się zalogować aby dodać rozwiazanie do zadania.
Strona korzysta z plików cookie w celu realizacji usług zgodnie z Polityką Prywatności. Możesz określić warunki przechowywania lub dostępu do cookie w twojej przeglądarce lub konfiguracji usługi.