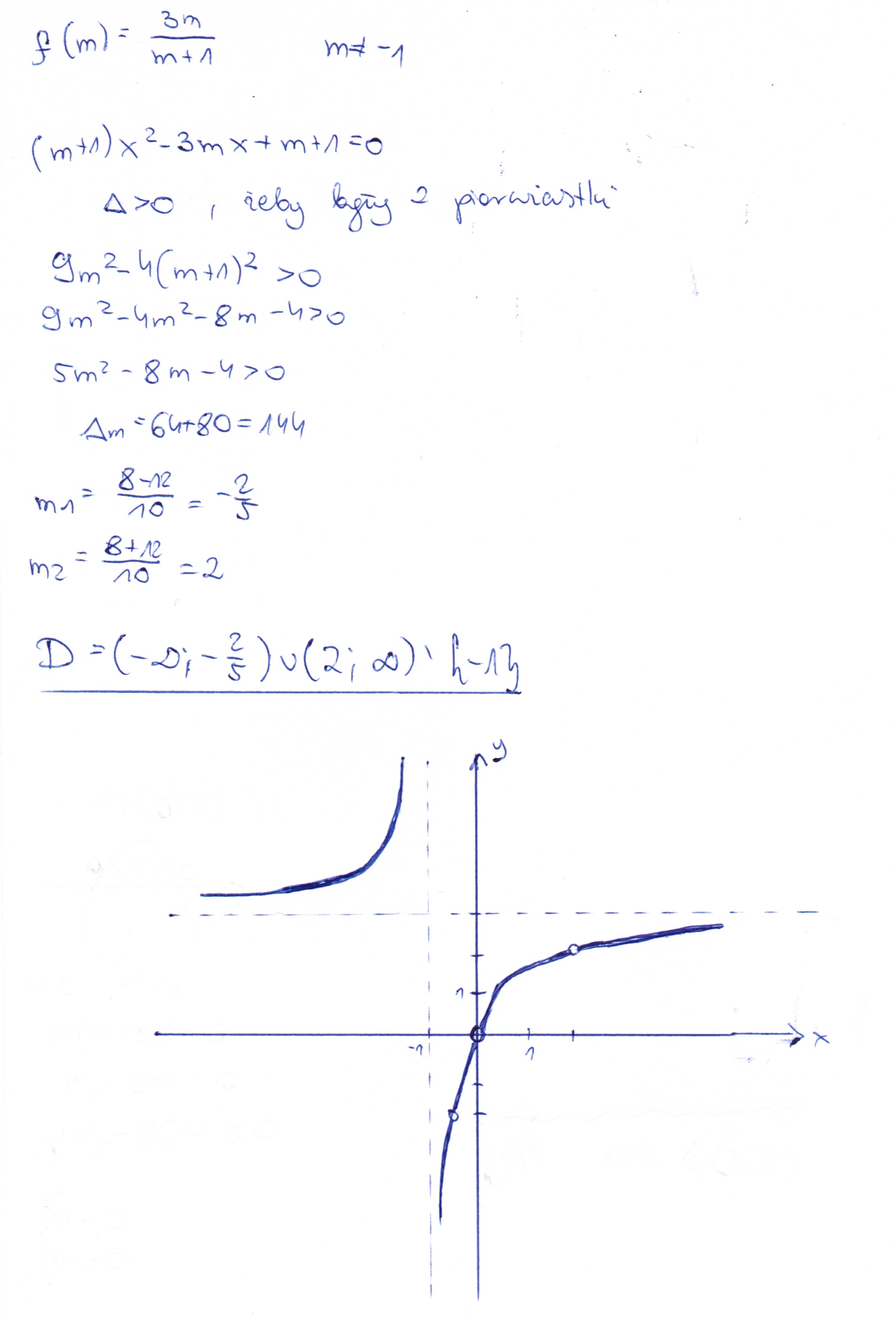
Naszkicuj wykres funkcji f, która każdej wartości parametru m przyporządkowuje sumę dwóch pierwiastków równania (m+1)$x^{2}$-3mx+m+1=0.

Zadanie 2084 (rozwiązane)

Ekspresowy Kurs Maturalny z matematyki

Zdajesz matematykę bo musisz? Przygotuj się do matury nawet w 7 dni! Zapisz się dzisiaj
Zadanie dodane przez dawid11204 , 22.02.2012 13:16
Dawid11204 20111106074654 thumb
Naszkicuj wykres funkcji f, która każdej wartości parametru m przyporządkowuje sumę dwóch pierwiastków równania (m+1)x^{2}-3mx+m+1=0.

Nadesłane rozwiązania ( 1 )

Rozwiązanie 1 dodane przez Patrycja12321 , 22.02.2012 15:34
Patrycja12321 20120217150119 thumb
W załączniku
Musisz się zalogować aby dodać komentarz

Znasz inny sposób na rozwiązanie tego zadania?

Dodaj swoje rozwiązanie

Dodaj swoje rozwiązanie:

Zabronione jest kopiowanie wszelkich treści!
Musisz się zalogować aby dodać rozwiazanie do zadania.
Strona korzysta z plików cookie w celu realizacji usług zgodnie z Polityką Prywatności. Możesz określić warunki przechowywania lub dostępu do cookie w twojej przeglądarce lub konfiguracji usługi.