Podaj punkty przeciecia wykresu funkcji f z osiami ukladu wspolrzednych. zapisz wzor funkcji f w postaci iloczynowej i kanonicznej oraz naszkicuj wykres. a) f(x)=x^2-4x+3 b) f(x)=-x^2-4x+5

Zadanie 2338 (rozwiązane)

Ekspresowy Kurs Maturalny z matematyki

Zdajesz matematykę bo musisz? Przygotuj się do matury nawet w 7 dni! Zapisz się dzisiaj
Zadanie dodane przez august18 , 05.03.2012 10:22
Default avatar
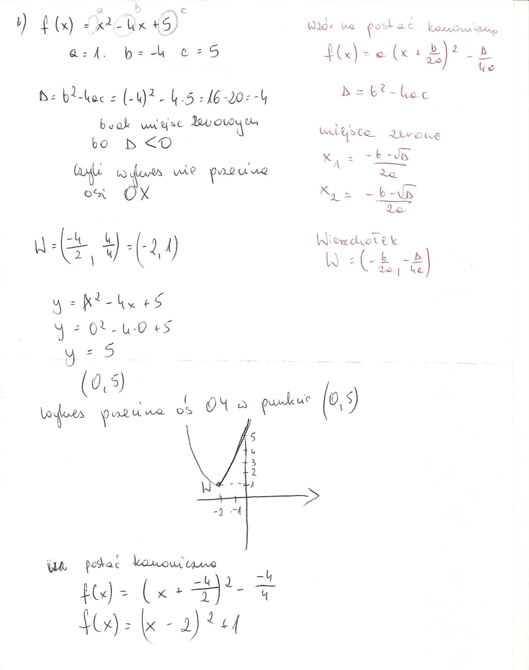
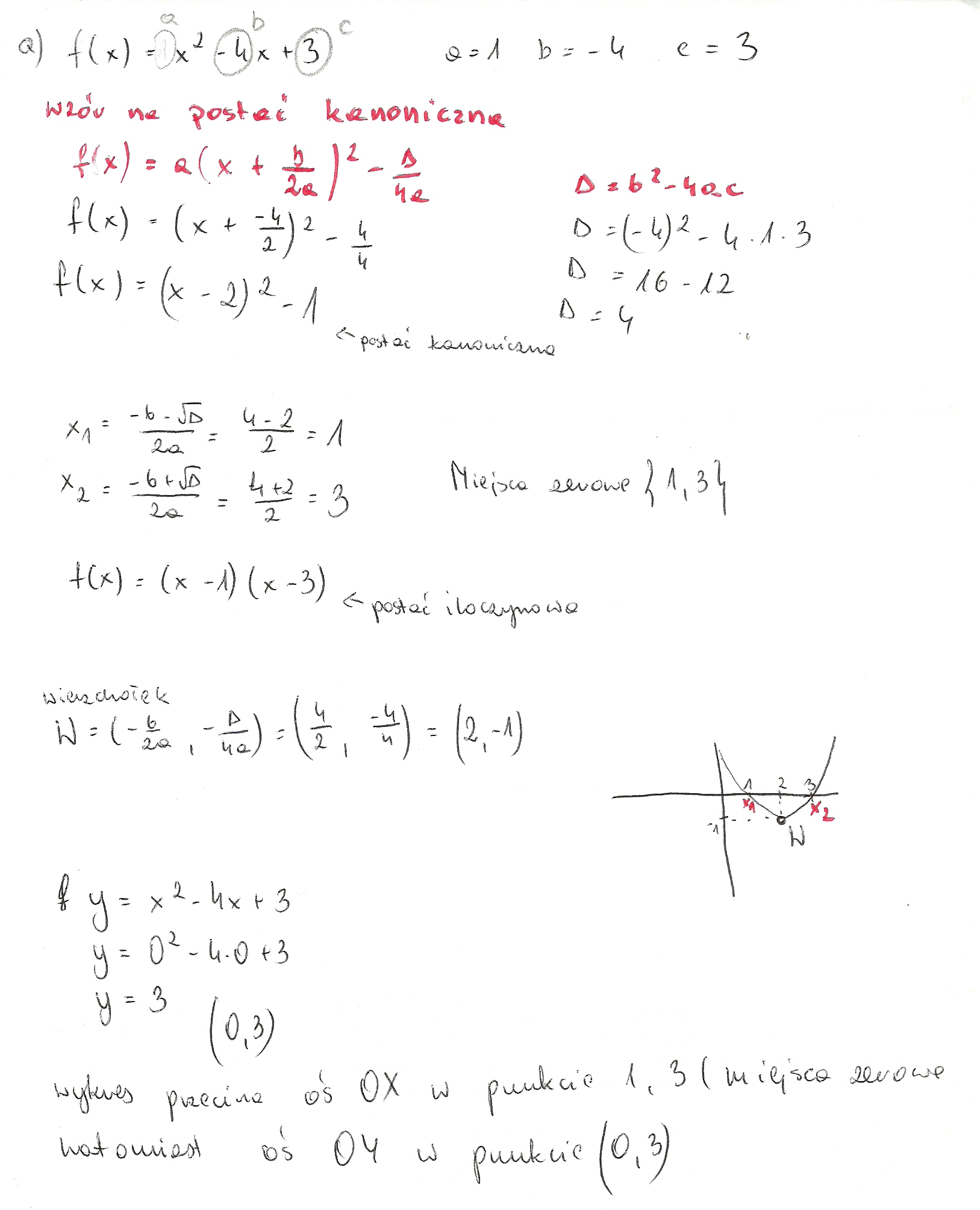
Podaj punkty przeciecia wykresu funkcji f z osiami ukladu wspolrzednych. zapisz wzor funkcji f w postaci iloczynowej i kanonicznej oraz naszkicuj wykres.
a) f(x)=x^2-4x+3
b) f(x)=-x^2-4x+5

Nadesłane rozwiązania ( 1 )

Rozwiązanie 1 dodane przez Martika , 07.03.2012 15:54
Default avatar
...
    • Default avatar
      goyomon11 03.01.2016 20:28

      w podpunkcie b wykres ma byc na odwrót ponieważ jest ujemne a .

Musisz się zalogować aby dodać komentarz

Znasz inny sposób na rozwiązanie tego zadania?

Dodaj swoje rozwiązanie

Dodaj swoje rozwiązanie:

Zabronione jest kopiowanie wszelkich treści!
Musisz się zalogować aby dodać rozwiazanie do zadania.
Strona korzysta z plików cookie w celu realizacji usług zgodnie z Polityką Prywatności. Możesz określić warunki przechowywania lub dostępu do cookie w twojej przeglądarce lub konfiguracji usługi.