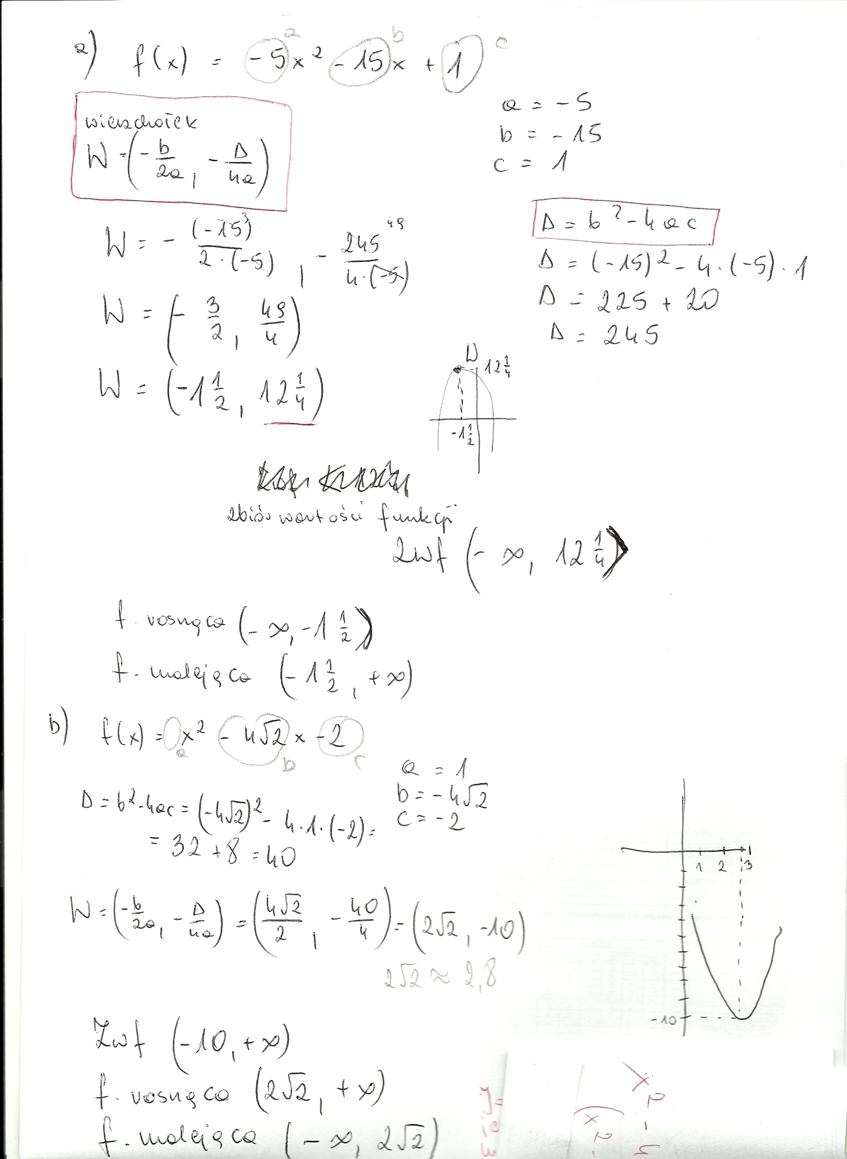
zad.4 Wyznacz przedzialy monotonicznosci oraz zbior wartosci funkcji f f(x)=-5x^2-15x+1 f(x)=X^2-4√2x-2

Zadanie 2339 (rozwiązane)

Ekspresowy Kurs Maturalny z matematyki

Zdajesz matematykę bo musisz? Przygotuj się do matury nawet w 7 dni! Zapisz się dzisiaj
Zadanie dodane przez august18 , 05.03.2012 10:30
Default avatar
zad.4
Wyznacz przedzialy monotonicznosci oraz zbior wartosci funkcji f
f(x)=-5x^2-15x+1
f(x)=X^2-4√2x-2

Nadesłane rozwiązania ( 1 )

Rozwiązanie 1 dodane przez Martika , 07.03.2012 16:10
Default avatar
....
Musisz się zalogować aby dodać komentarz

Znasz inny sposób na rozwiązanie tego zadania?

Dodaj swoje rozwiązanie

Dodaj swoje rozwiązanie:

Zabronione jest kopiowanie wszelkich treści!
Musisz się zalogować aby dodać rozwiazanie do zadania.
Strona korzysta z plików cookie w celu realizacji usług zgodnie z Polityką Prywatności. Możesz określić warunki przechowywania lub dostępu do cookie w twojej przeglądarce lub konfiguracji usługi.