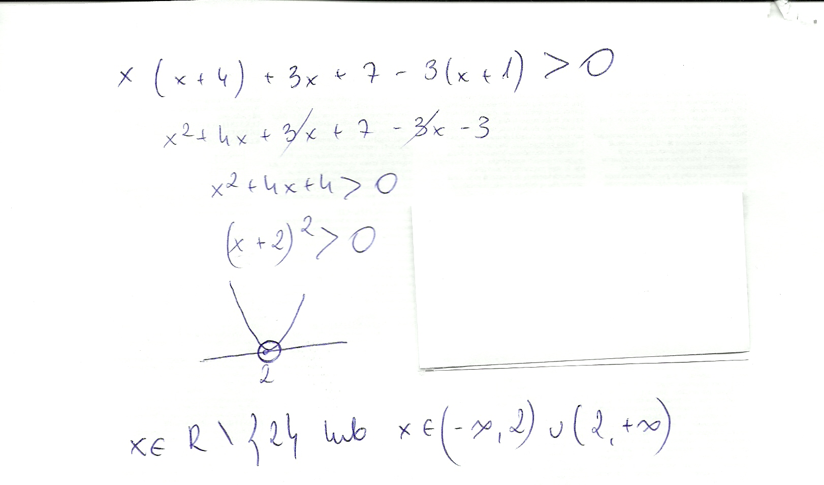
x(x-4)+3x+7>3(x+1)

Zadanie 2365 (rozwiązane)

Ekspresowy Kurs Maturalny z matematyki

Zdajesz matematykę bo musisz? Przygotuj się do matury nawet w 7 dni! Zapisz się dzisiaj
Zadanie dodane przez margarita1405 , 05.03.2012 19:37
Default avatar
x(x-4)+3x+7>3(x+1)

Nadesłane rozwiązania ( 1 )

Rozwiązanie 1 dodane przez Martika , 05.03.2012 20:21
Default avatar
....
Musisz się zalogować aby dodać komentarz

Znasz inny sposób na rozwiązanie tego zadania?

Dodaj swoje rozwiązanie

Dodaj swoje rozwiązanie:

Zabronione jest kopiowanie wszelkich treści!
Musisz się zalogować aby dodać rozwiazanie do zadania.
Strona korzysta z plików cookie w celu realizacji usług zgodnie z Polityką Prywatności. Możesz określić warunki przechowywania lub dostępu do cookie w twojej przeglądarce lub konfiguracji usługi.