napisz funkcje w postaci iloczynowej f(x)=-4xdo kwadratu+5x

Zadanie 2930 (rozwiązane)

Ekspresowy Kurs Maturalny z matematyki

Zdajesz matematykę bo musisz? Przygotuj się do matury nawet w 7 dni! Zapisz się dzisiaj
Zadanie dodane przez koliber9 , 04.04.2012 15:27
Koliber9 20120202112327 thumb
napisz funkcje w postaci iloczynowej f(x)=-4xdo kwadratu+5x

Nadesłane rozwiązania ( 2 )

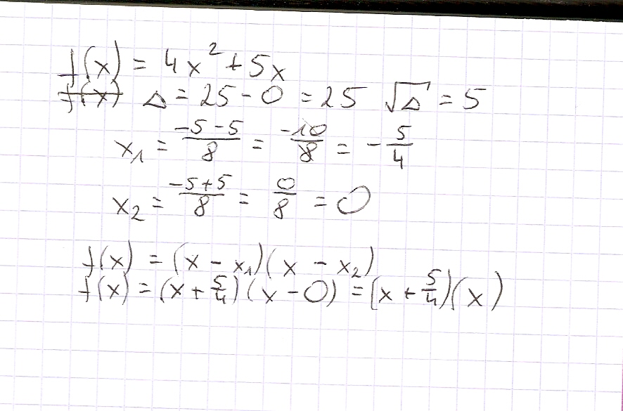
Rozwiązanie 1 dodane przez monika2433 , 04.04.2012 17:18
Monika2433 20120305174832 thumb
Proszę ;)
Musisz się zalogować aby dodać komentarz
Rozwiązanie 2 dodane przez monika2433 , 04.04.2012 17:18
Monika2433 20120305174832 thumb
Proszę ;)
Musisz się zalogować aby dodać komentarz

Znasz inny sposób na rozwiązanie tego zadania?

Dodaj swoje rozwiązanie

Dodaj swoje rozwiązanie:

Zabronione jest kopiowanie wszelkich treści!
Musisz się zalogować aby dodać rozwiazanie do zadania.
Strona korzysta z plików cookie w celu realizacji usług zgodnie z Polityką Prywatności. Możesz określić warunki przechowywania lub dostępu do cookie w twojej przeglądarce lub konfiguracji usługi.