Rozwiąż równania i nierówności kwadratowe: x^2+4x-5=0 x^2-11x+28=0 (3x-6)(x+2)>(x-1)(x+3) (x+2)^2-1≥2(x-3)

Zadanie 3285 (rozwiązane)

Ekspresowy Kurs Maturalny z matematyki

Zdajesz matematykę bo musisz? Przygotuj się do matury nawet w 7 dni! Zapisz się dzisiaj
Zadanie dodane przez grazyna1 , 23.04.2012 17:24
Default avatar
Rozwiąż równania i nierówności kwadratowe:
x^2+4x-5=0
x^2-11x+28=0
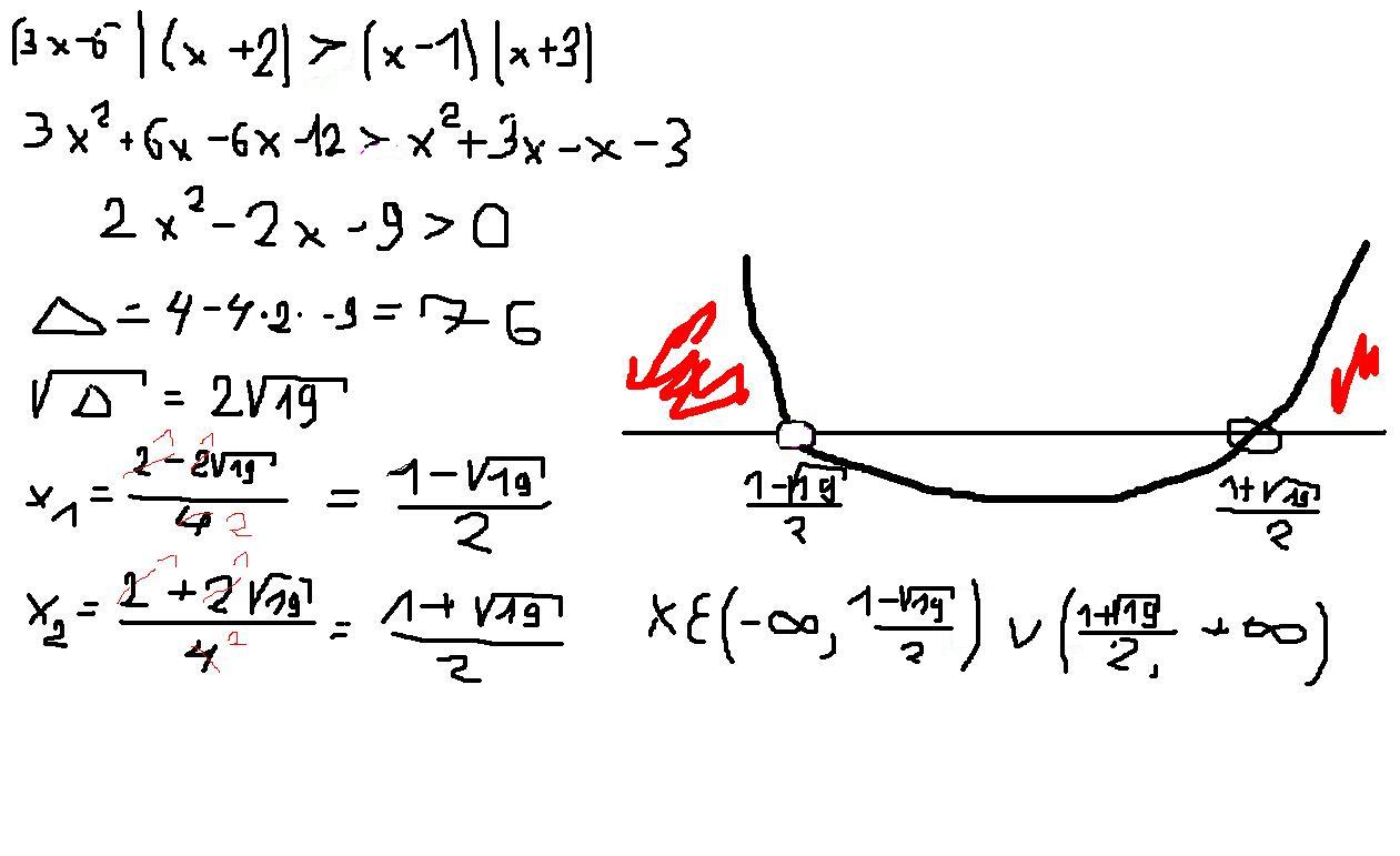
(3x-6)(x+2)>(x-1)(x+3)
(x+2)^2-1≥2(x-3)

Nadesłane rozwiązania ( 2 )

Rozwiązanie 1 dodane przez Abaddon24 , 23.04.2012 18:06
Abaddon24 20111123224018 thumb
Ja zrobiłem pierwszy drugi i ostatni przykład.
Zrobił bym przed ostatni ale tam sa pierwiastki i mam pytanie
CZY DOBRZE PRZEPISAŁAŚ PRZED OSTATNIE ZADANIE ???????????????????


A).
x^2+4x-5=0
delta= 16 +20 = 36
pierwiastek z delty to 6
x1=-4-6/2
x1 = -10/2
x1= -5

x2= -4+6/2
x2 = 2/2
x2=1
B).
x^2-11x+28=0
delta= 121 – 112 = 9
pierwiastek z delty to 3
x1=11-3/2
x1=4

x2=11+3/2
x2=7

D.)
(x+2)^2-1>=2(x-3)
X^2+4x+4-1>=2x-6
X^2+2x+9>=0

Delta <0
Musisz się zalogować aby dodać komentarz
Rozwiązanie 2 dodane przez Abaddon24 , 23.04.2012 20:41
Abaddon24 20111123224018 thumb
tutaj masz rozwiązanie do przed ostatniego zadania
Musisz się zalogować aby dodać komentarz

Znasz inny sposób na rozwiązanie tego zadania?

Dodaj swoje rozwiązanie

Dodaj swoje rozwiązanie:

Zabronione jest kopiowanie wszelkich treści!
Musisz się zalogować aby dodać rozwiazanie do zadania.
Strona korzysta z plików cookie w celu realizacji usług zgodnie z Polityką Prywatności. Możesz określić warunki przechowywania lub dostępu do cookie w twojej przeglądarce lub konfiguracji usługi.