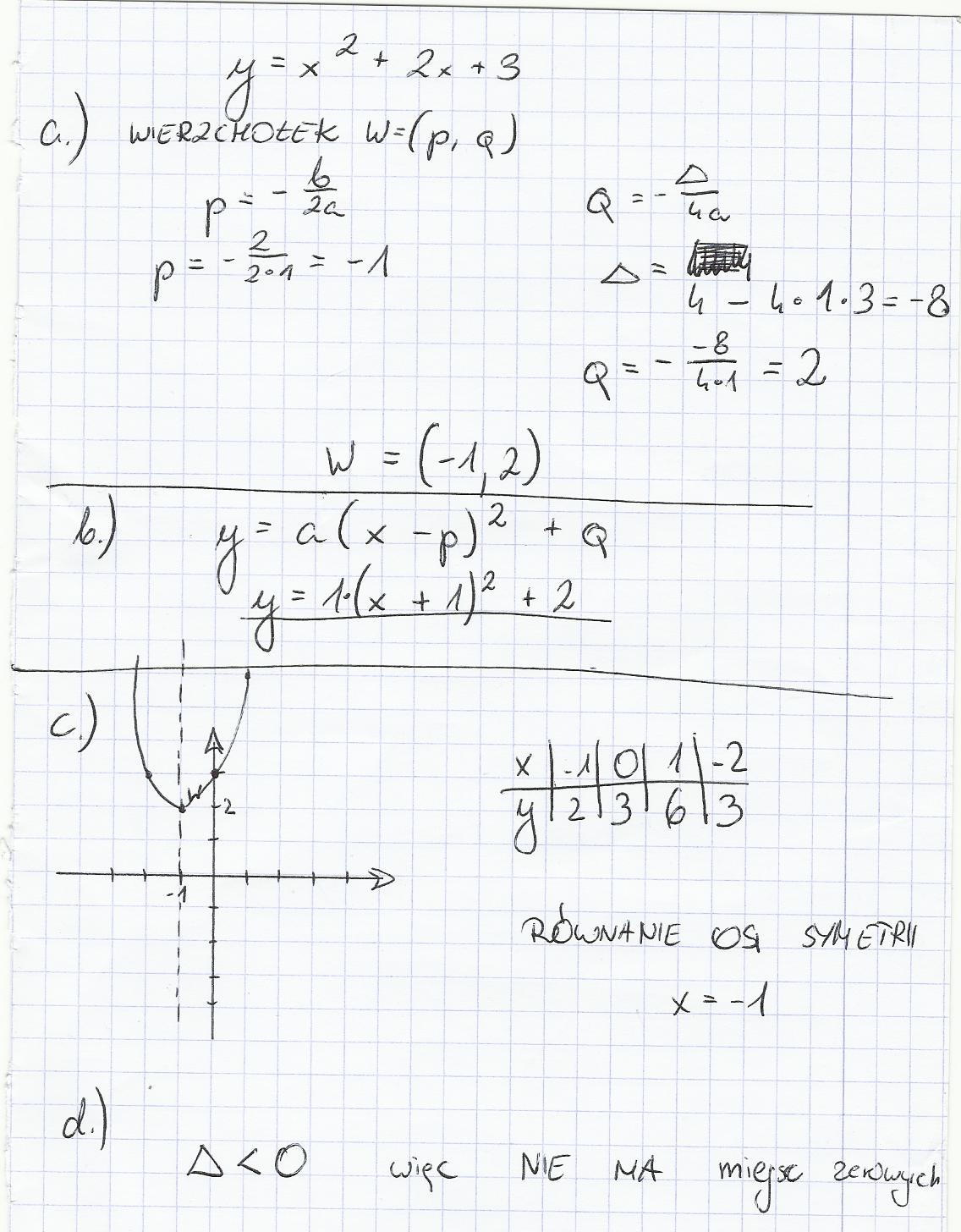
funkcja dana jest wzorem $y=x^{2}+2x+3$ a) oblicz współrzedne wierzchołka paraboli b)zapisz zrór funkcji w postaci kanonicznej c)naszkicuj wykres funkcji i napisz równanie osi symetrii wykresu d)odczytaj miejsce zerowe funkcji

Zadanie 5261 (rozwiązane)

Ekspresowy Kurs Maturalny z matematyki

Zdajesz matematykę bo musisz? Przygotuj się do matury nawet w 7 dni! Zapisz się dzisiaj
Zadanie dodane przez sonia9o , 04.01.2013 18:33
Sonia9o 20120517151918 thumb
funkcja dana jest wzorem y=x^{2}+2x+3
a) oblicz współrzedne wierzchołka paraboli
b)zapisz zrór funkcji w postaci kanonicznej
c)naszkicuj wykres funkcji i napisz równanie osi symetrii wykresu
d)odczytaj miejsce zerowe funkcji

Nadesłane rozwiązania ( 1 )

Rozwiązanie 1 dodane przez Alicja1 , 04.01.2013 19:19
Alicja1 20121208104007 thumb
Całość rozwiązania w załączniku
    • Sonia9o 20120517151918 thumb
      sonia9o 04.01.2013 20:26

      dziekuje za rozwiazanie :)

Musisz się zalogować aby dodać komentarz

Znasz inny sposób na rozwiązanie tego zadania?

Dodaj swoje rozwiązanie

Dodaj swoje rozwiązanie:

Zabronione jest kopiowanie wszelkich treści!
Musisz się zalogować aby dodać rozwiazanie do zadania.
Strona korzysta z plików cookie w celu realizacji usług zgodnie z Polityką Prywatności. Możesz określić warunki przechowywania lub dostępu do cookie w twojej przeglądarce lub konfiguracji usługi.