Wypisz wszystkie liczby całkowite spełniające nierówność x( x+2 ) < 8

Zadanie 5372 (rozwiązane)

Ekspresowy Kurs Maturalny z matematyki

Zdajesz matematykę bo musisz? Przygotuj się do matury nawet w 7 dni! Zapisz się dzisiaj
Zadanie dodane przez Pati13333 , 12.01.2013 22:03
Default avatar
Wypisz wszystkie liczby całkowite spełniające nierówność x( x+2 ) < 8

Nadesłane rozwiązania ( 1 )

Rozwiązanie 1 dodane przez monijatcz , 13.01.2013 18:08
Monijatcz 20121028144130 thumb
x^2+2x-8<0
a=1 b=2 c=-8
\Delta = b^2-4ac=2^2-4*1*(-8)=4+32=36
x_1=\frac{-b-\sqrt{\Delta}}{2a}=\frac{-2-6}{2}=\frac{-8}{2}=-4
x_2=\frac{-b+\sqrt{\Delta}}{2a}=\frac{-2+6}{2}=\frac{4}{2}=2

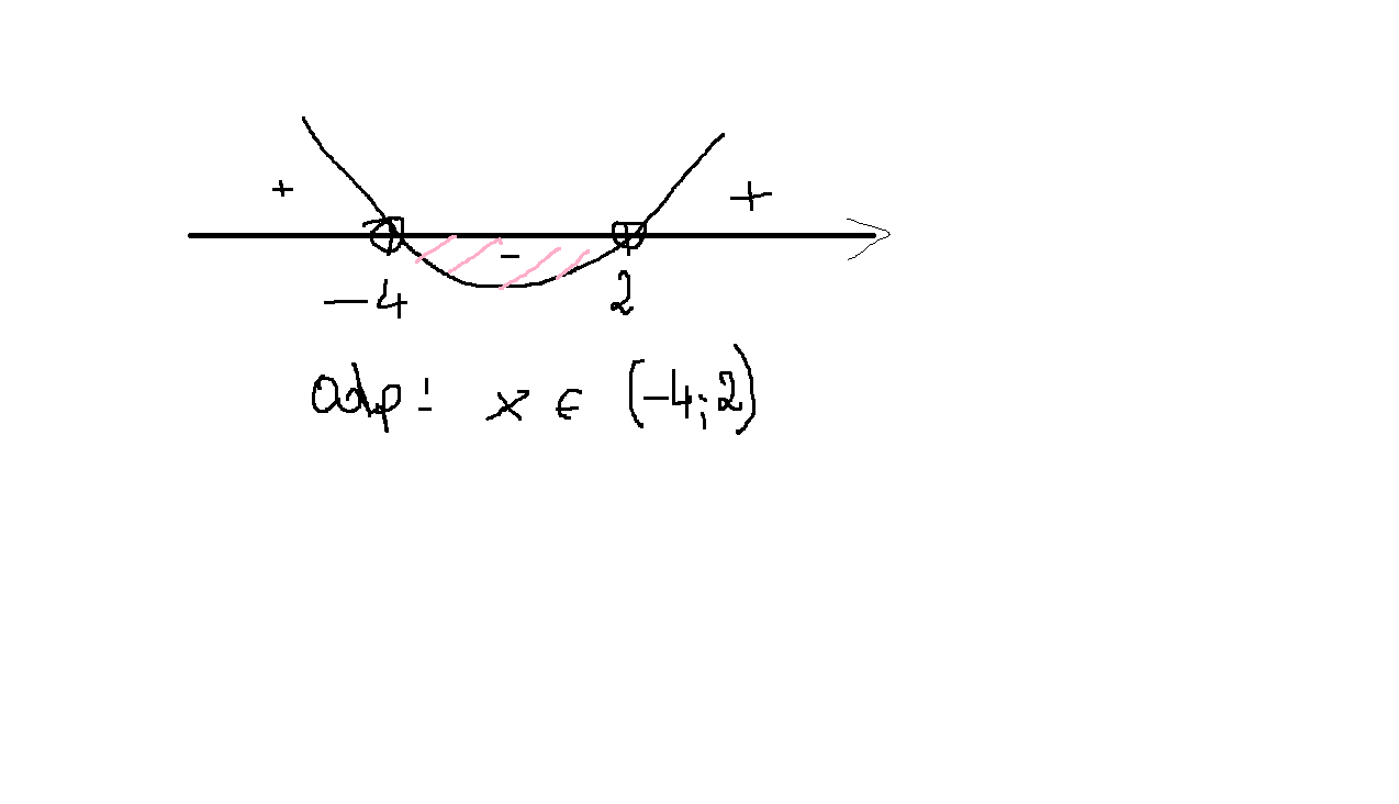
Rysujemy oś liczbowa, zanaczamy miejsca zerowe -4 i 2. rysujemy parabolę o ramionach do góry ( bo a>0) i odczytujemy wartosci ujemne ( czyli gdzie parabola jest pod osią)- załącznik
Odp: x\in(-4;2)
Musisz się zalogować aby dodać komentarz

Znasz inny sposób na rozwiązanie tego zadania?

Dodaj swoje rozwiązanie

Dodaj swoje rozwiązanie:

Zabronione jest kopiowanie wszelkich treści!
Musisz się zalogować aby dodać rozwiazanie do zadania.
Strona korzysta z plików cookie w celu realizacji usług zgodnie z Polityką Prywatności. Możesz określić warunki przechowywania lub dostępu do cookie w twojej przeglądarce lub konfiguracji usługi.