Rozwiąż nierówność 3x^2 > 8x +3

Zadanie 5374 (rozwiązane)

Ekspresowy Kurs Maturalny z matematyki

Zdajesz matematykę bo musisz? Przygotuj się do matury nawet w 7 dni! Zapisz się dzisiaj
Zadanie dodane przez Pati13333 , 12.01.2013 22:09
Default avatar
Rozwiąż nierówność 3x^2 > 8x +3

Nadesłane rozwiązania ( 1 )

Rozwiązanie 1 dodane przez monijatcz , 13.01.2013 18:17
Monijatcz 20121028144130 thumb
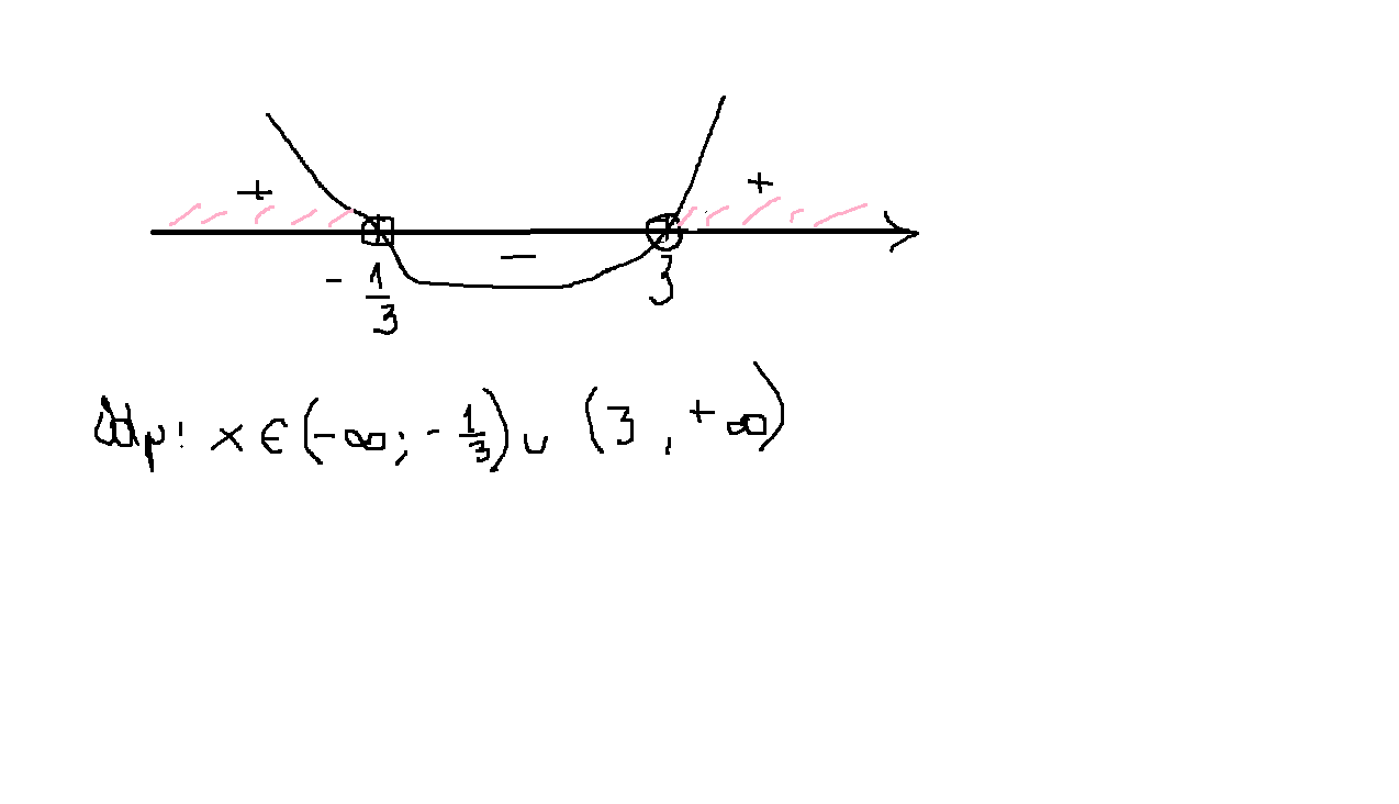
3x^2-8x-3>0
a=3 b=-8 c=-3
\Delta = b^2-4ac=(-8)^2-4*3*(-3)=64+36=100
x_1=\frac{-b-\sqrt{\Delta}}{2a}=\frac{8-10}{2*3}=\frac{-2}{6}=-\frac{1}{3}
x_2=\frac{-b+\sqrt{\Delta}}{2a}=\frac{8+10}{2*3}=\frac{18}{6}=3
rysujemy os liczbowa , zaznaczamy -1/3 i 3 (kółeczka nie zamalowane) , ramiona paraboli do góry (a>0), odczytujemy wartości dodatnie (tam gdzie parabola nad osią)- załącznik
Odp: x\in(-\infty;-\frac{1}{3}) \cup (3;+\infty)
Musisz się zalogować aby dodać komentarz

Znasz inny sposób na rozwiązanie tego zadania?

Dodaj swoje rozwiązanie

Dodaj swoje rozwiązanie:

Zabronione jest kopiowanie wszelkich treści!
Musisz się zalogować aby dodać rozwiazanie do zadania.
Strona korzysta z plików cookie w celu realizacji usług zgodnie z Polityką Prywatności. Możesz określić warunki przechowywania lub dostępu do cookie w twojej przeglądarce lub konfiguracji usługi.