Wykres funkcji f danej wzorem f(x)= -2x^2 przesunięto wzdłuż osi 0X o 3 jednostki w prawo i wzdłuż osi 0Y o 8 jednostek w górę; powstał wykres funkcji g. a)Rozwiąż nierówność f(x) + 5 <3x b) Podaj zbiór wartości funkcji g. c) Funkcja g określona jest wzorem g(x)= -2x^2 + bx + c Oblicz b i c.

Zadanie 5386 (rozwiązane)

Ekspresowy Kurs Maturalny z matematyki

Zdajesz matematykę bo musisz? Przygotuj się do matury nawet w 7 dni! Zapisz się dzisiaj
Zadanie dodane przez Pati13333 , 12.01.2013 22:35
Default avatar
Wykres funkcji f danej wzorem f(x)= -2x^2 przesunięto wzdłuż osi 0X o 3 jednostki w prawo i wzdłuż osi 0Y o 8 jednostek w górę; powstał wykres funkcji g.
a)Rozwiąż nierówność f(x) + 5 <3x
b) Podaj zbiór wartości funkcji g.
c) Funkcja g określona jest wzorem g(x)= -2x^2 + bx + c Oblicz b i c.

Nadesłane rozwiązania ( 1 )

Rozwiązanie 1 dodane przez monijatcz , 15.01.2013 20:40
Monijatcz 20121028144130 thumb
a)
-2x^2+5<3x
-2x^2-3x+5<0
a=-2 b=-3 c=5
\Delta=b^2-4ac=(-3)^2-4*(-2)*5=9+40=49
x_1=\frac{-b-\sqrt{\Delta}}{2a}=\frac{3-7}{2*(-2)}=\frac{-4}{-4}=1
x_2=\frac{-b+\sqrt{\Delta}}{2a}=\frac{3+7}{2*(-2)}=\frac{10}{-4}= -2,5
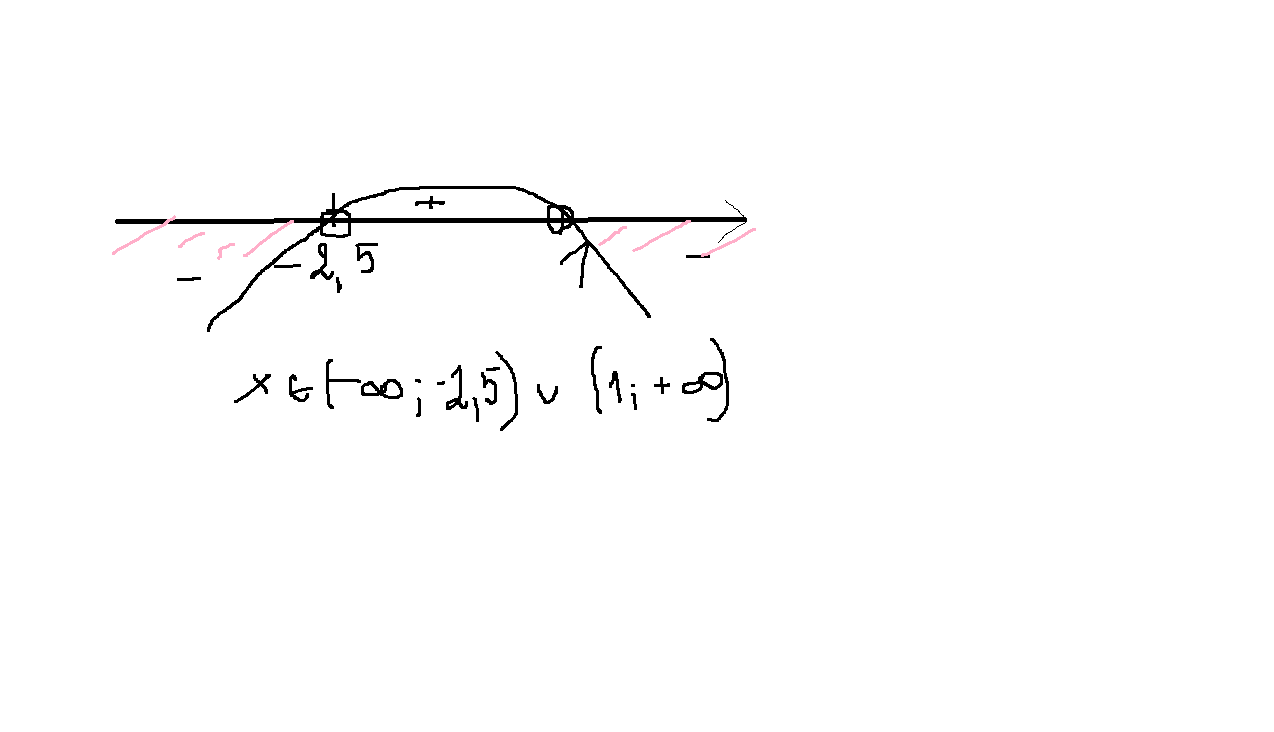
zanczamy na osi liczbowej liczby -2,5 i 1, rysujemy parabolę oramionach do dołu ( a<0) i odczytujemyu wartości ujemne( tam gdzie wykres pod osią) - załącznik

x\in(-\infty; -2,5) \cup (1;+\infty)

b)
skorzystam z postaci kanonicznej funkcji kwadratowej
przesunieto ax^2 o p jednostek ( w lewo lub w prawo ) i q jednostek ( w górę lub w dół) to
y=a(x-p)^2+q

skoro przesunieto:
-2x^2 to a=-2
o 3 jednostki w prawo to p=3
o 8 jednostek w góre to q=8
zatem
g(x)=-2(x-3)^2+8
zbiorem wartości funkcji, której ramiona paraboli są do dołu ( bo a=-2<0 ) jest przedział (-\infty; q>
zatem

zbiorem wartosci funkcji g(x) jest:
Y_g=(-\infty;8>
c)
mamy daną już postac kanoniczną funkcji g:
g(x)=-2(x-3)^2+8
doprowadźmy ją do postaci ogólnej ( poprostu wystarczy podnieś do kwadratu nawias i uporządkować)
g(x)=-2 (x^2-6x+9)+8=-2x^2+12x-18+8
g(x)= -2x^2+12x-10
czyli b=12 zas c=-10

Musisz się zalogować aby dodać komentarz

Znasz inny sposób na rozwiązanie tego zadania?

Dodaj swoje rozwiązanie

Dodaj swoje rozwiązanie:

Zabronione jest kopiowanie wszelkich treści!
Musisz się zalogować aby dodać rozwiazanie do zadania.
Strona korzysta z plików cookie w celu realizacji usług zgodnie z Polityką Prywatności. Możesz określić warunki przechowywania lub dostępu do cookie w twojej przeglądarce lub konfiguracji usługi.